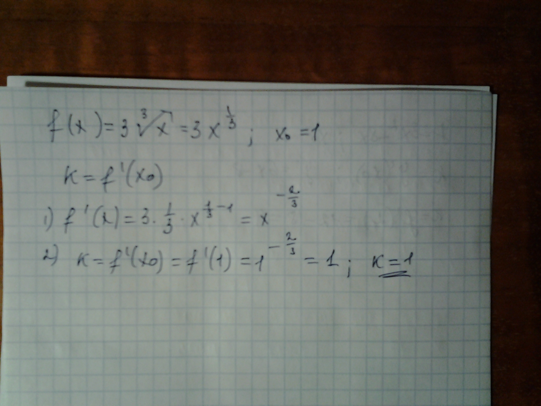
Найдите угол между касательной к графику функции y=f(x) в его точке с абсциссой
и осью 0x, если ![f(x)=3 sqrt[3]{x} , x_{0}=1 f(x)=3 sqrt[3]{x} , x_{0}=1](https://tex.z-dn.net/?f=f%28x%29%3D3+sqrt%5B3%5D%7Bx%7D+%2C+x_%7B0%7D%3D1)
Ответы
Ответ дал:
0
Применено определение углового коэффициента касательной к графику функции
Приложения:
Ответ дал:
0
Просто гений.
Ответ дал:
0
:)
Вас заинтересует
2 года назад
7 лет назад
7 лет назад
10 лет назад
10 лет назад