• Предмет: Математика
  • Автор: kisaa00101
  • Вопрос задан 9 лет назад

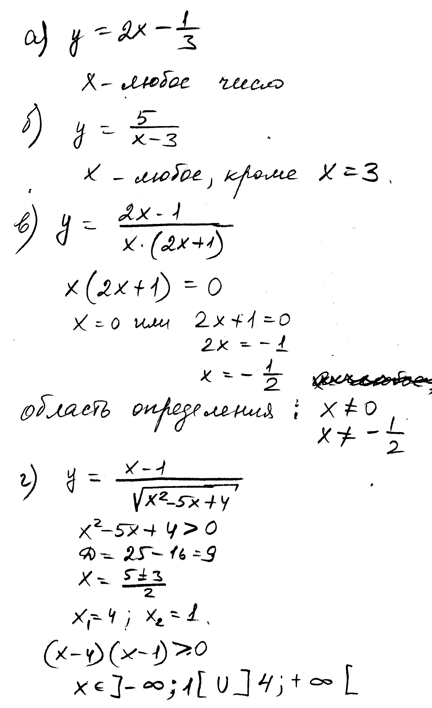
ПОМОГИТЕ С АЛГЕБРОЙ! НАЙДИТЕ ОБЛАСТЬ ОПРЕДЕЛЕНИЯ ФУНКЦИИ!

Приложения:

Ответы

Ответ дал: samodina
0
решение во вложенном файле
Приложения:
Ответ дал: kisaa00101
0
Спасибо огромное❤️❤️❤️
Вас заинтересует