• Предмет: Математика
  • Автор: 89050076184l
  • Вопрос задан 9 лет назад

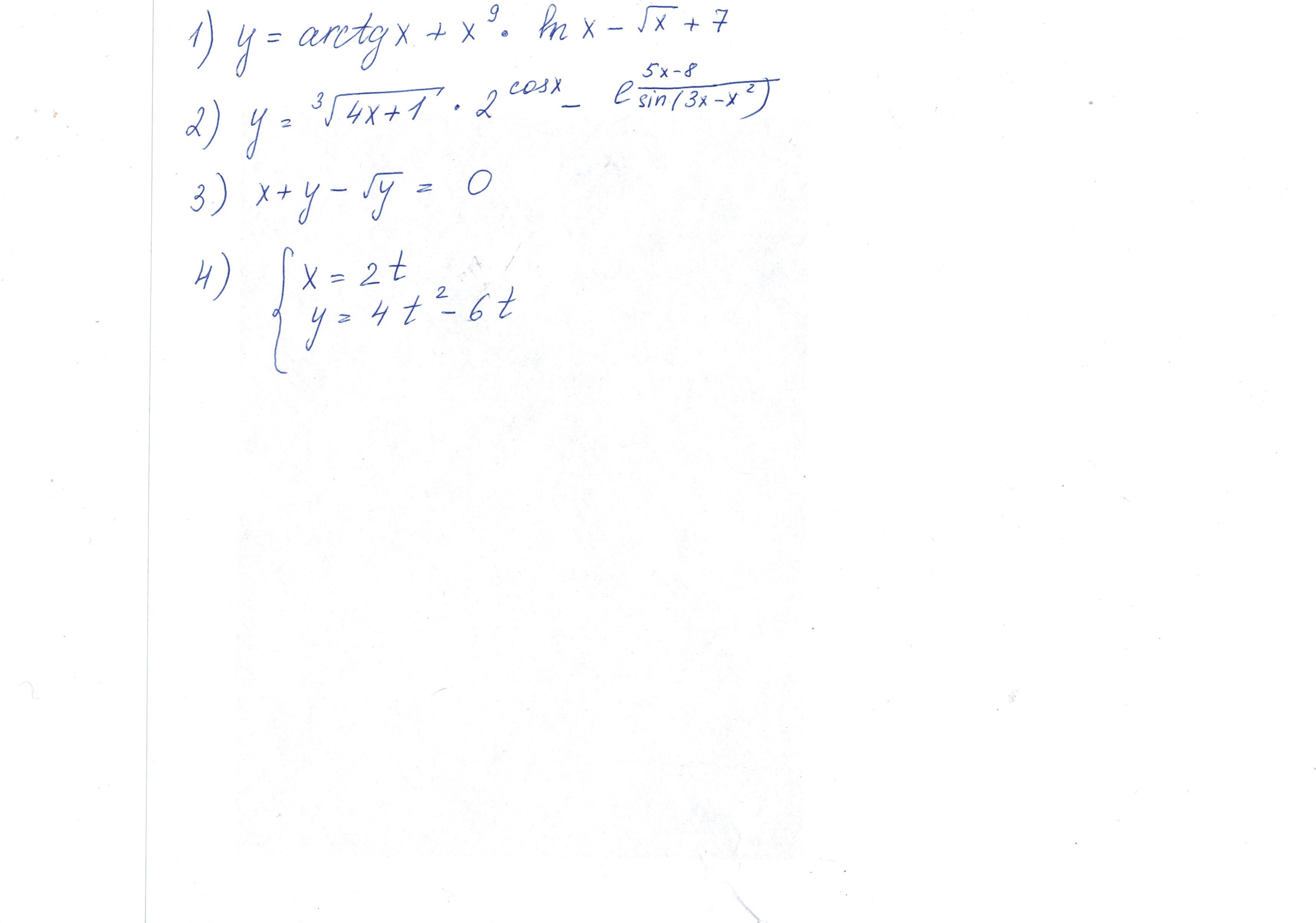
Найдите производные функции

Приложения:

Ответы

Ответ дал: aleks41
0
Смотри фото, если что не понял пиши
Приложения:
Ответ дал: 89050076184l
0
а можно решение остальных?
Ответ дал: aleks41
0
3) обе части уравнения дифференцируем по х с учетом, что у есть функция от х. потом определяем у'.
Ответ дал: aleks41
0
получаем 1+у'-(1/2корень у)·у'=0; у'=-2+(1/2корень у).
Ответ дал: aleks41
0
Совет: в интернете запроси книгу И.А.Каплан "Практические занятия по высшей математике" 1970 Там много решений примеров по производной, интегралам, аналитической геометрии...
Вас заинтересует