Ответы
Ответ дал:
0
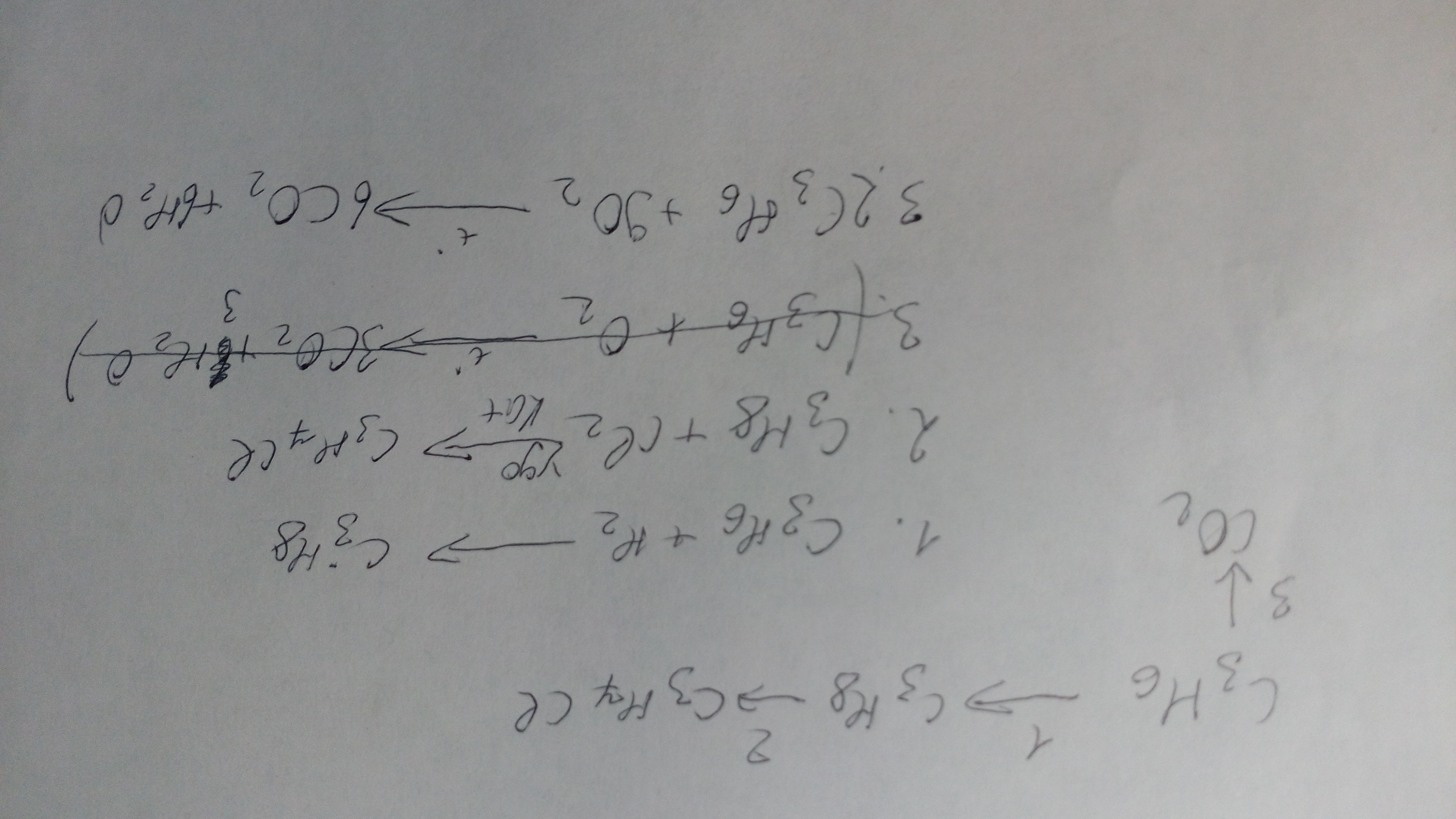
Ой , извини что к низ головой , но тут надо 20 символов , по этому и извиняюсь )))
Приложения:

Вас заинтересует
2 года назад
7 лет назад
9 лет назад
10 лет назад