• Предмет: Математика
  • Автор: Фая12345
  • Вопрос задан 9 лет назад

запишите в виде многочена выражение (3y-2)(y-y+1)

Ответы

Ответ дал: dtnth
0
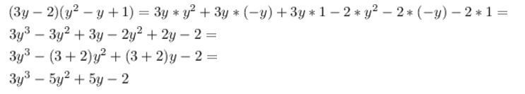
(3y-2)(y^2-y+1)=3y*y^2+3y*(-y)+3y*1-2*y^2-2*(-y)-2*1=
3y^3-3y^2+3y-2y^2+2y-2=
3y^3-(3+2)y^2+(3+2)y-2=
3y^3-5y^2+5y-2
Приложения:
Ответ дал: Фая12345
0
спс большое но уже поздно ну тебе большое спасибо
Вас заинтересует