Ответы
Ответ дал:
0
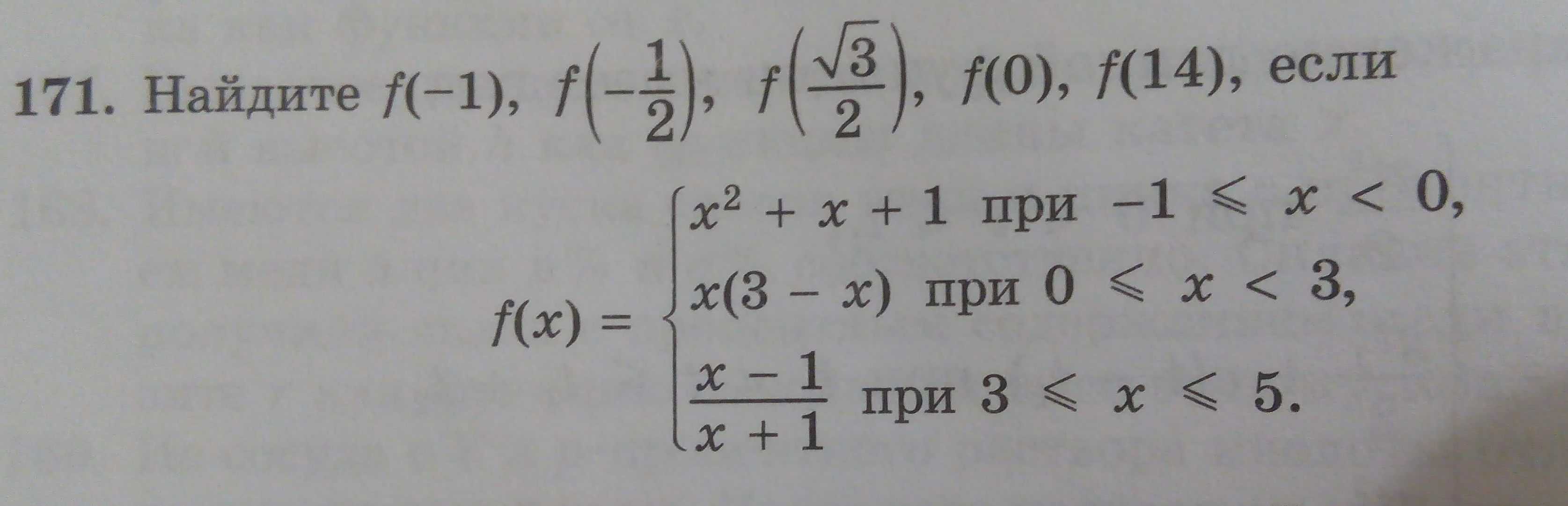
f(-1)=1-1+1=1
f(√3/2)=√3/2(3-√3/2)=√3/2*(6-√3)/2=(6√3-3)/4
f(0)=0(3-0)=0
f(14) нет
f(√3/2)=√3/2(3-√3/2)=√3/2*(6-√3)/2=(6√3-3)/4
f(0)=0(3-0)=0
f(14) нет
Ответ дал:
0
F(-1/2)?
Вас заинтересует
3 года назад
3 года назад
7 лет назад
7 лет назад
10 лет назад
10 лет назад
10 лет назад
10 лет назад