• Предмет: Математика
  • Автор: JuliaHelp
  • Вопрос задан 9 лет назад

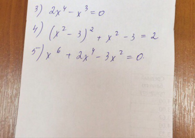
3 биквадратных уравнения

Приложения:

Ответы

Ответ дал: 373050026
0
3.\2x^4-x^3=0\x^3(2x-1)=0\x^3=0= textgreater  x=0\2x-1=0= textgreater  2x=1= textgreater  x=frac{1}{2}
Ответ: 0,12
4.\(x^2-3)^2+x^2-3=2
Пусть x^2-3=t, тогда полдучим новое квадратное уравнение и решим его
t^2+t=2\t^2+t-2=0\D=1^2-4*1*(-2)=1+8=9\\t_{1}=frac{-1+3}{2}=frac{2}{2}=1\\t_{2}=frac{-1-3}{2}=frac{-4}{2}=-2
Теперь вернемся в замену и найдем х, причем уравнений будет два
1.\x^2-3=1\x^2=3+1\x^2=4\x=sqrt{4}\x=+-2\2.\x^2-3=-2\x^2=3-2\x^2=1\x=sqrt{1}\x=+-1
Ответ: +-2 и +-1
5.
x^6+2x^4-3x^2=0\x^2(x^4+2x^2-3)=0\x^2=0= textgreater  x=0\x^4+2x^2-3=0
Пусть у=x^2, тогда получим уравнение и решим его
y^2+2y-3=0\D=2^2-4*1*(-3)=4+12=16\\y_{1}=frac{-2-4}{2}=frac{-6}{2}=-3\\t_{2}=frac{-2+4}{2}=frac{2}{2}=1
Теперь вернемся в замену и найдем х, причем уравнений будет два
1.\x^2=-3= textgreater  уравнение не имеет смысла, так как квадрат числа не может быть меньше ноля
2.\x^2=1\x=sqrt{1}\x=+-1
Ответ: +-1
Вас заинтересует