Ответы
Ответ дал:
0
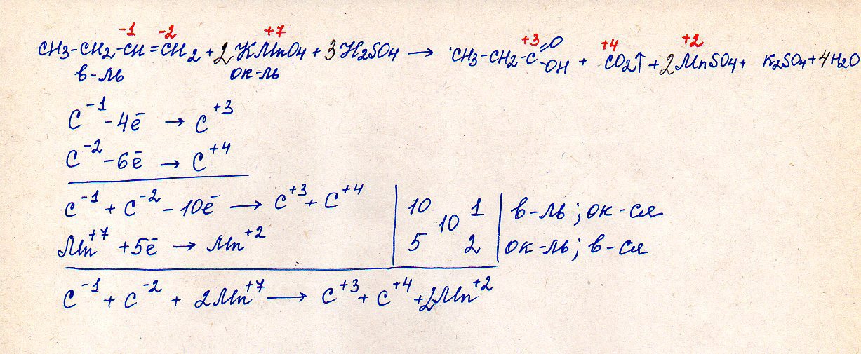
Решение задания. Желаю удачи!
Приложения:

Вас заинтересует
2 года назад
2 года назад
7 лет назад