• Предмет: Геометрия
  • Автор: Ультиматум8
  • Вопрос задан 11 лет назад

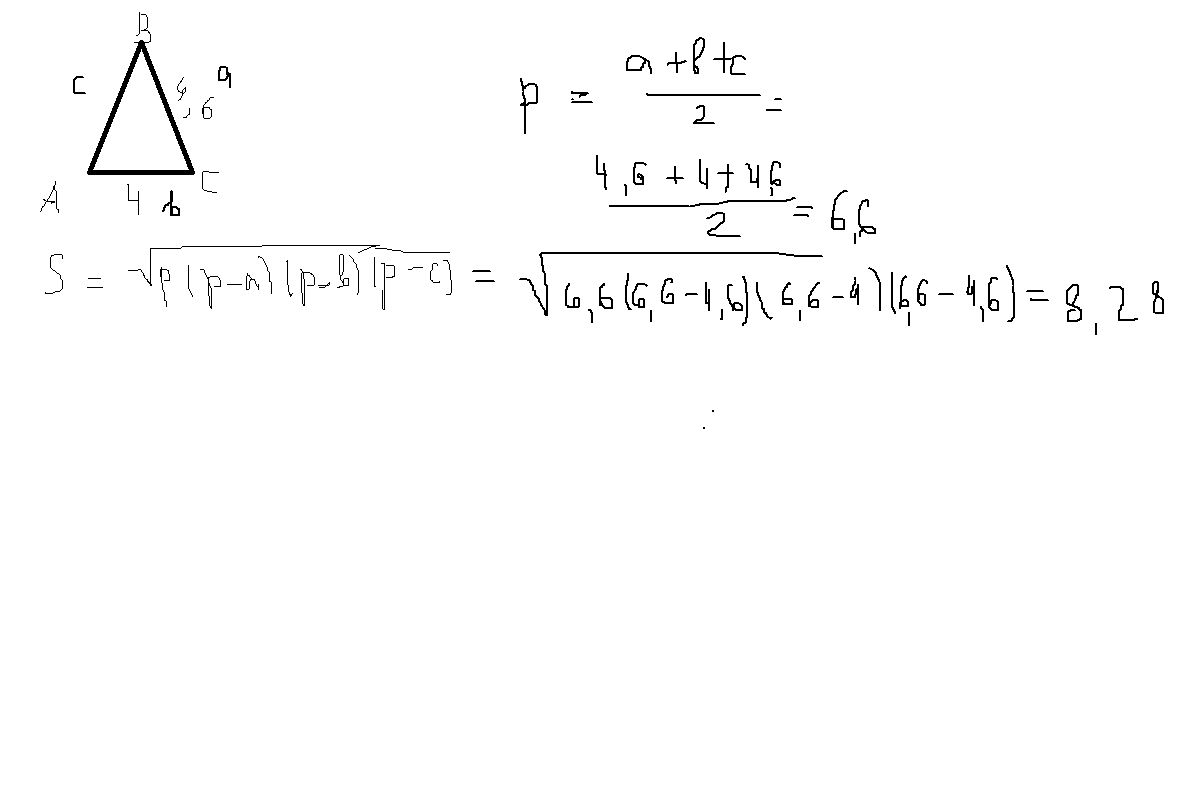
Основание равнобедренного треугольника равно 4 см, а боковая сторона - 4,6 см. Найдите площадь треугольника.

Ответы

Ответ дал: ligirlness
0

Я решила по формуле Герона 

Приложения:
Вас заинтересует