ПОМОГИТЕ ПОЖАЛУЙСТА!!! определить четность и нечетность функций. Только упрощенно.
P.S. можно решение картинкой отправить.
Приложения:

Ответы
Ответ дал:
0
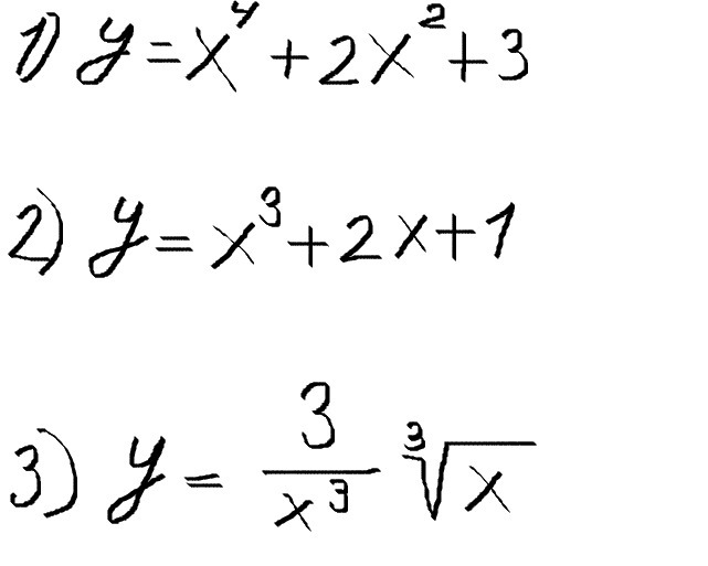
(-X)^4 + 2(-X)^2 +3=
x^4 +2x^2 +3
Функция четная т.к
f(-X)=f(X)
(-X)^3 + 2(-X)+1=
-x^3 -2x +1
Не является ни четной ни нечётная.
x^4 +2x^2 +3
Функция четная т.к
f(-X)=f(X)
(-X)^3 + 2(-X)+1=
-x^3 -2x +1
Не является ни четной ни нечётная.
Вас заинтересует
2 года назад
2 года назад
9 лет назад
10 лет назад