ПОМОГИТЕ ПОЖАЛУЙСТА!!! определить четность и нечетность функций. Только упрощенно.
P.S. можно решение картинкой отправить.
Приложения:
Ответы
Ответ дал:
0
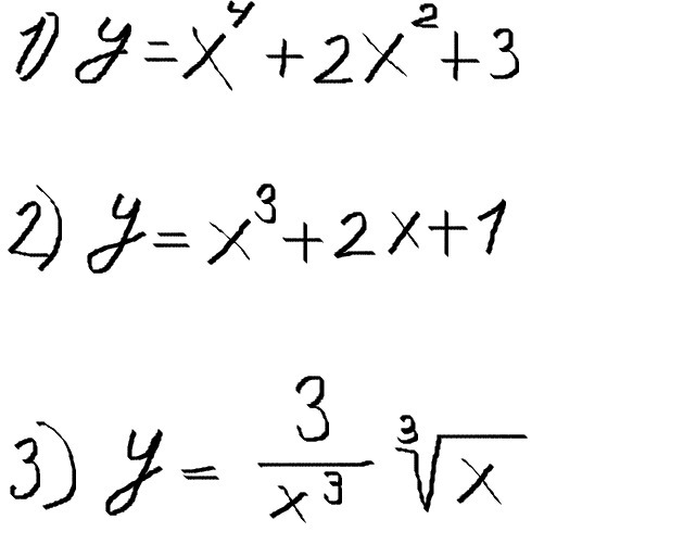
вспомним что такое четность или нечетность
y(-x)=y(x) - четная
y(-x)=-y(x) - нечетная

ЧЕтная

функция не является ни четной ни нечетной
![displaystyle y= frac{3}{x^3} sqrt[3]{x}
displaystyle y= frac{3}{x^3} sqrt[3]{x}](https://tex.z-dn.net/?f=displaystyle+y%3D+frac%7B3%7D%7Bx%5E3%7D+sqrt%5B3%5D%7Bx%7D%0A%0A++)
![displaystyle y(-x)= frac{3}{-x^3} sqrt[3]{-x}= frac{3}{x^3} sqrt[3]{x} displaystyle y(-x)= frac{3}{-x^3} sqrt[3]{-x}= frac{3}{x^3} sqrt[3]{x}](https://tex.z-dn.net/?f=displaystyle+y%28-x%29%3D+frac%7B3%7D%7B-x%5E3%7D+sqrt%5B3%5D%7B-x%7D%3D+frac%7B3%7D%7Bx%5E3%7D+sqrt%5B3%5D%7Bx%7D++++)
Четная
y(-x)=y(x) - четная
y(-x)=-y(x) - нечетная
ЧЕтная
функция не является ни четной ни нечетной
Четная
Вас заинтересует
2 года назад
7 лет назад
10 лет назад
10 лет назад
10 лет назад
10 лет назад