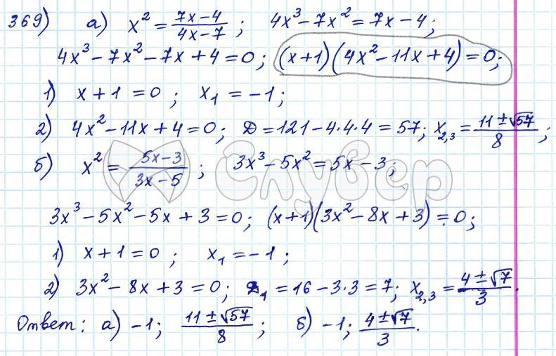
Объясните как раскрыть уравнение (обведено серым цветом) Я не понимаю как в следующем действии получается такой ответ
Приложения:

Ответы
Ответ дал:
0
Тебе не нужно его раскрывать,просто решаешь через дискриминант,как сделано ниже)
Вас заинтересует
2 года назад
2 года назад
7 лет назад