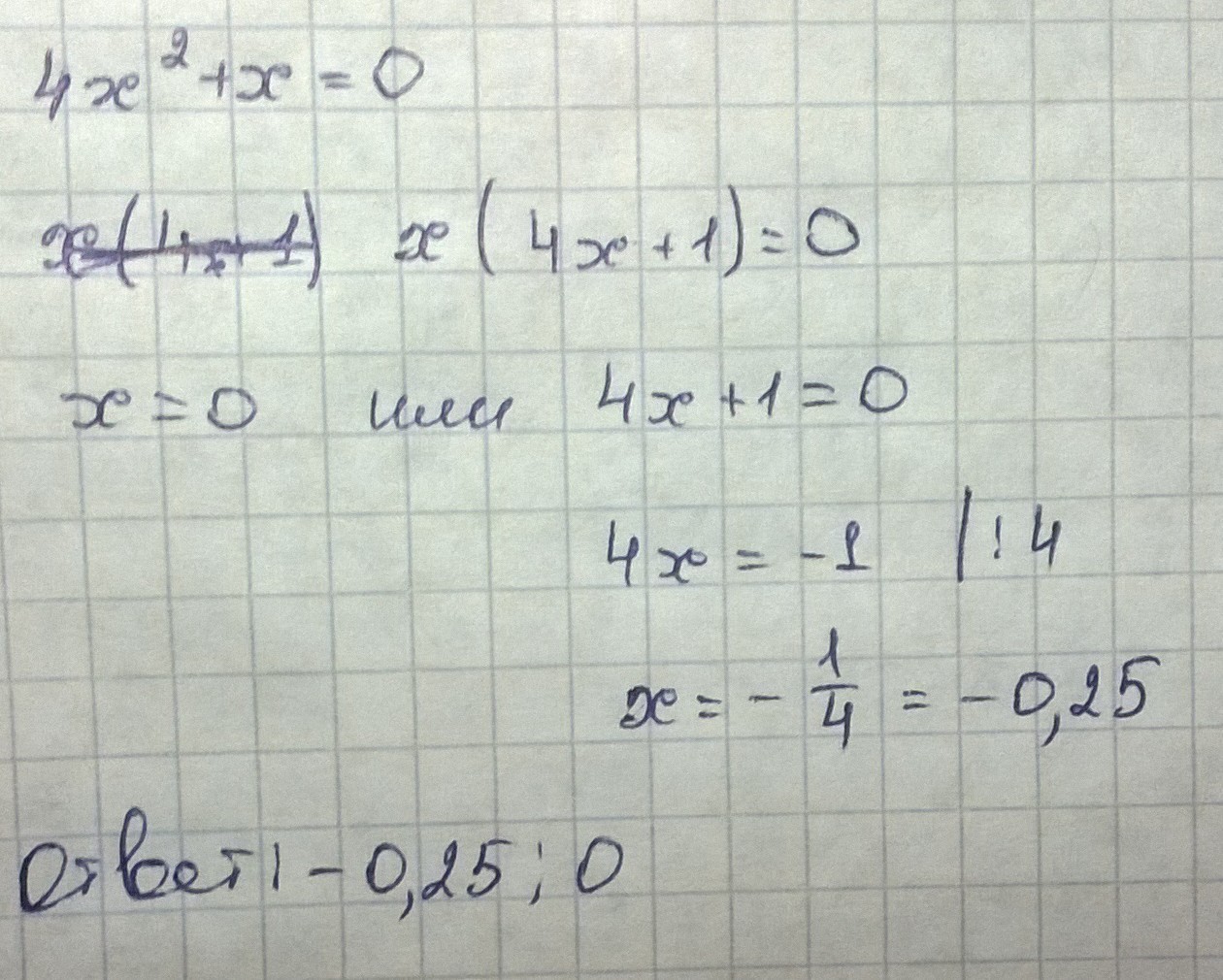
Решите уравнение 4x2+=0 .
Если корней несколько, запишите их через точку с запятой в порядке возрастания.
Ответы
Ответ дал:
0
В следующий раз пиши все правильно с первого раза. Удачи.
Приложения:

Вас заинтересует
2 года назад
2 года назад
7 лет назад
9 лет назад
9 лет назад
10 лет назад