Ответы
Ответ дал:
0
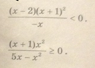
1. критические точки 2,-1,0
наносим их на числовую прямую, получаем 4 промежутка, оцениваем их, получаем
x пренадлежит4 (-бесконечность;-1) объяденяя (-1;0) объяденяя (2; + бесконечность)
2.критические точки -1,5,0
наносим на числовую прямую, получаем 4 промежутка, оцениваем их, получаем
х пренадлежит (- бесконечность;-1] объяденяя (0;5)
Приложения:

Вас заинтересует
2 года назад
2 года назад
8 лет назад
8 лет назад
10 лет назад