Можете пожалуйста расписать подробно как решать эти задания. Если не трудно, можете даже сфотографировать свою работу на листке.
Приложения:

Ответы
Ответ дал:
0
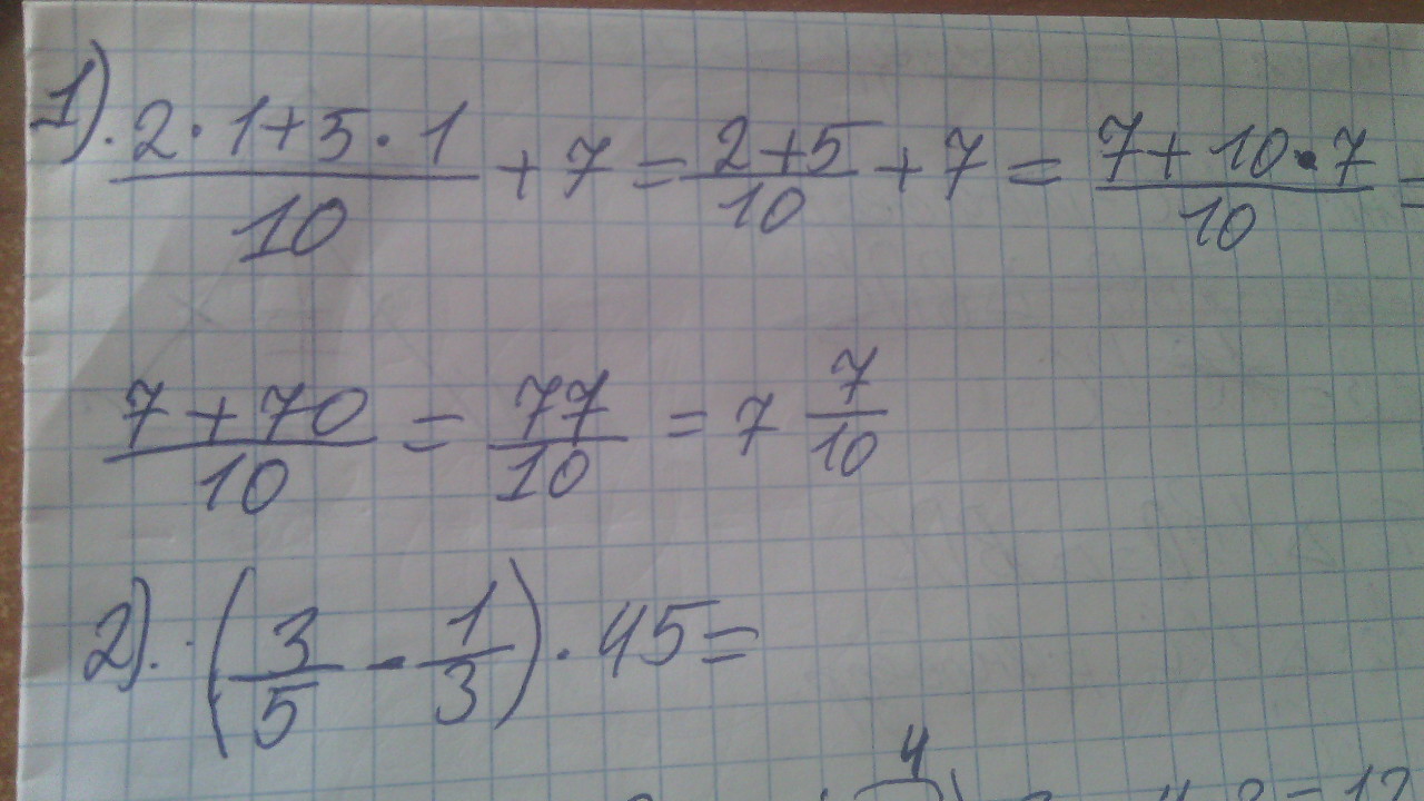
1)2+5+7/10=77/10=7,7
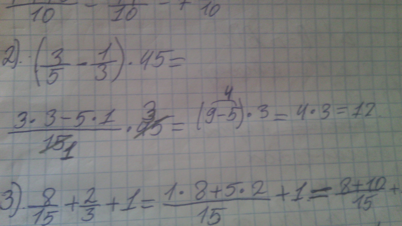
2)9-5/15=4/15*5=4/3
3)8+10+15/15=33/15
2)9-5/15=4/15*5=4/3
3)8+10+15/15=33/15
Ответ дал:
0
4)15/8-5,6*1/7=43/10=10,75
5)8+5+30/10=43/10=4,3
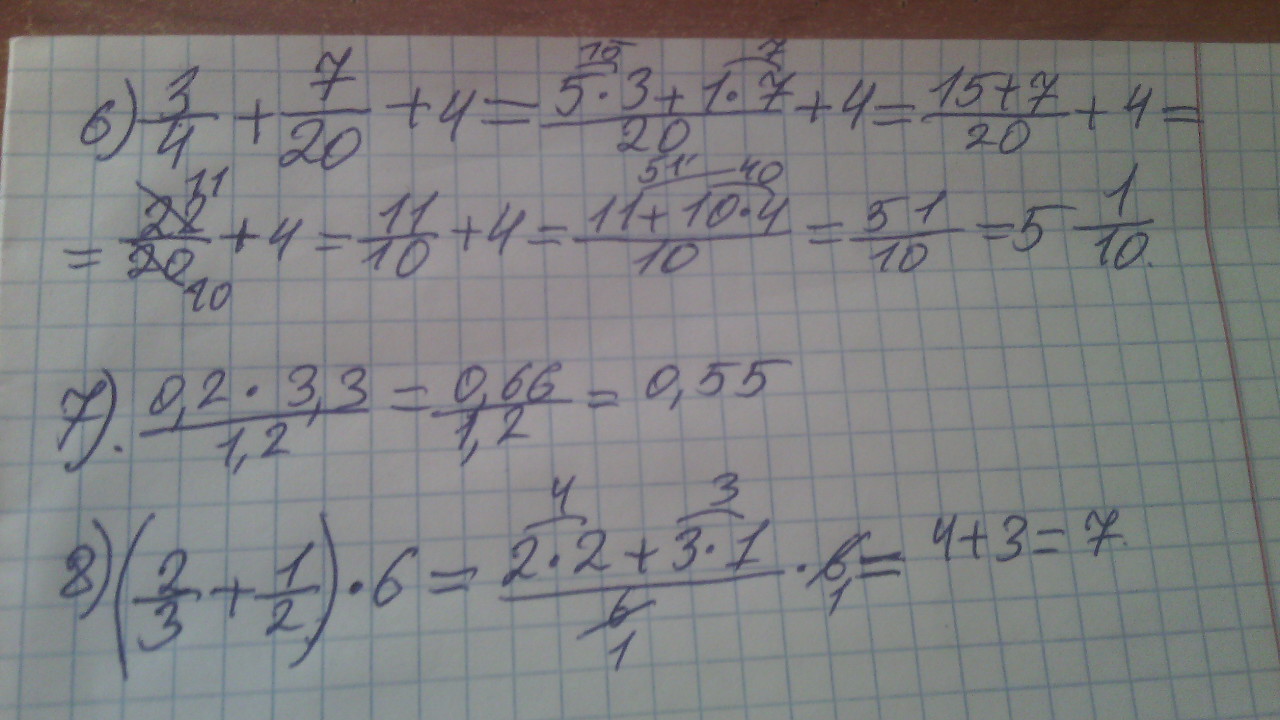
6)15+7+80/20=102/20=5,1
7)11/20=0,55
8)4+3/6=7/6*6=7
5)8+5+30/10=43/10=4,3
6)15+7+80/20=102/20=5,1
7)11/20=0,55
8)4+3/6=7/6*6=7
Ответ дал:
0
я так не понимаю ничего(((
Ответ дал:
0
в 1 задании будет ответ 7 710
Ответ дал:
0
смешаной дробью
Ответ дал:
0
Вот ответы с решением!
Приложения:





Вас заинтересует
2 года назад
2 года назад
7 лет назад
7 лет назад
9 лет назад
10 лет назад