• Предмет: Математика
  • Автор: karinaKisska
  • Вопрос задан 9 лет назад

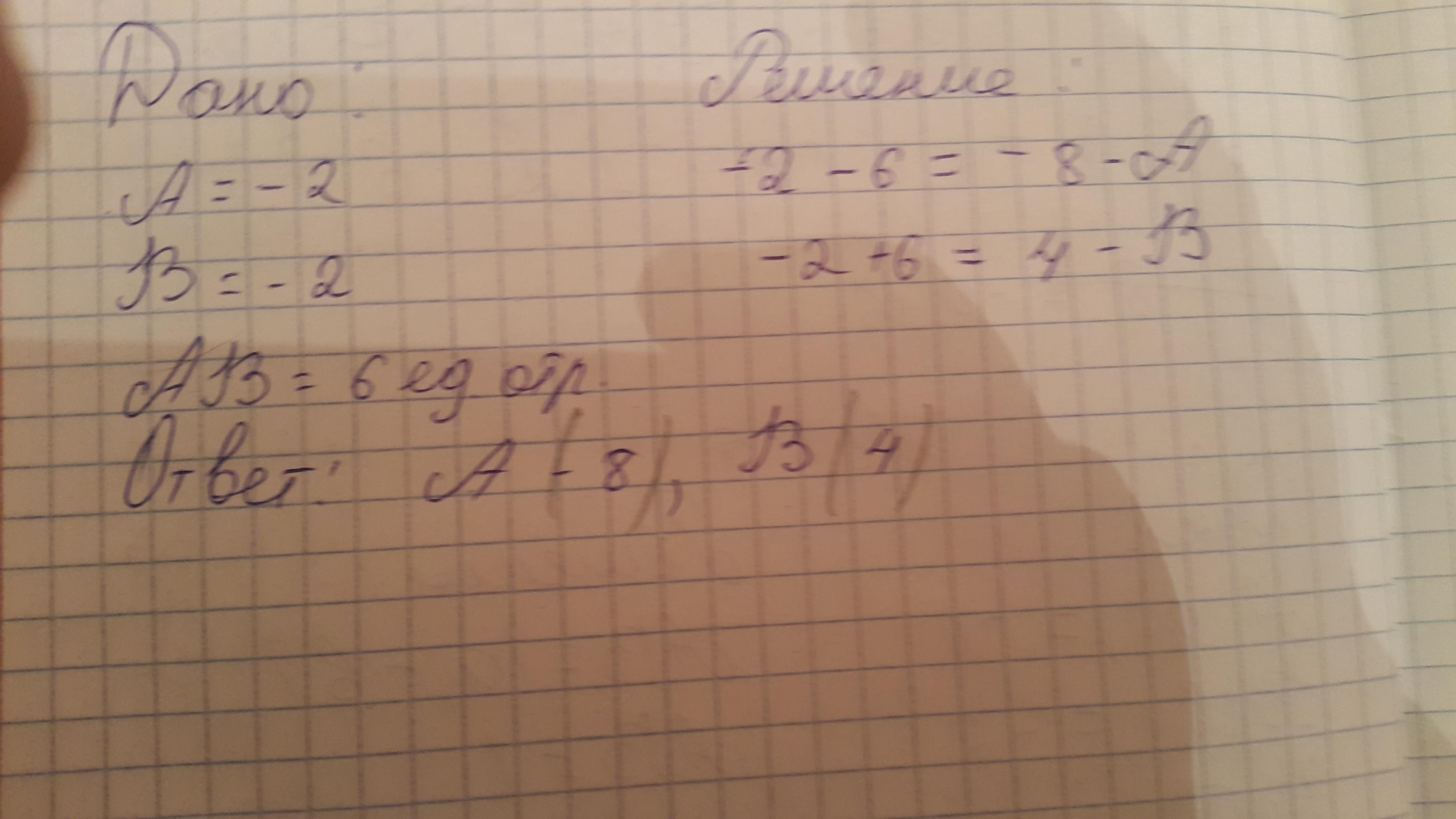
помогите с координатной прямой:На координатной прямой отмечены точки А и В(-2).Определите координату точки А,если расстояние между точками А и В равно 6 единицам.Сколько решений имеет задача

Ответы

Ответ дал: Tvgghfrgysv
0
!!!!!!!!!!!!!!!!!!!!!!!!!!!!!!!!!
Приложения:
Вас заинтересует