• Предмет: Математика
  • Автор: лего2016
  • Вопрос задан 9 лет назад

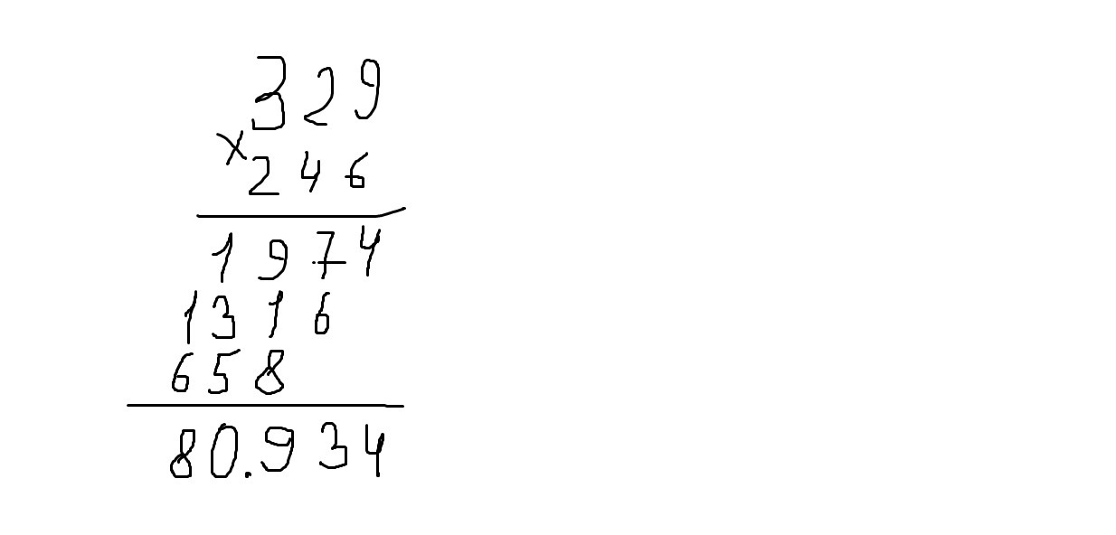
в столбик 329*246 плиз

Ответы

Ответ дал: ilyarusinov
0
..........................................................
Приложения:
Вас заинтересует