Ответы
Ответ дал:
0
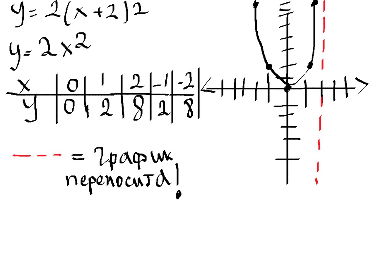
Пожалуйста!!!Все очень просто!Надеюсь на хорошую оценку!
Приложения:

Вас заинтересует
2 года назад
2 года назад
7 лет назад
7 лет назад
9 лет назад
9 лет назад