• Предмет: Алгебра
  • Автор: f2xser
  • Вопрос задан 9 лет назад

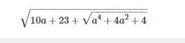
Срочно! Помогите упростить при а<=5

Приложения:

Ответы

Ответ дал: tinker6666
0
вот я написал ответ, кратко
Приложения:
Вас заинтересует