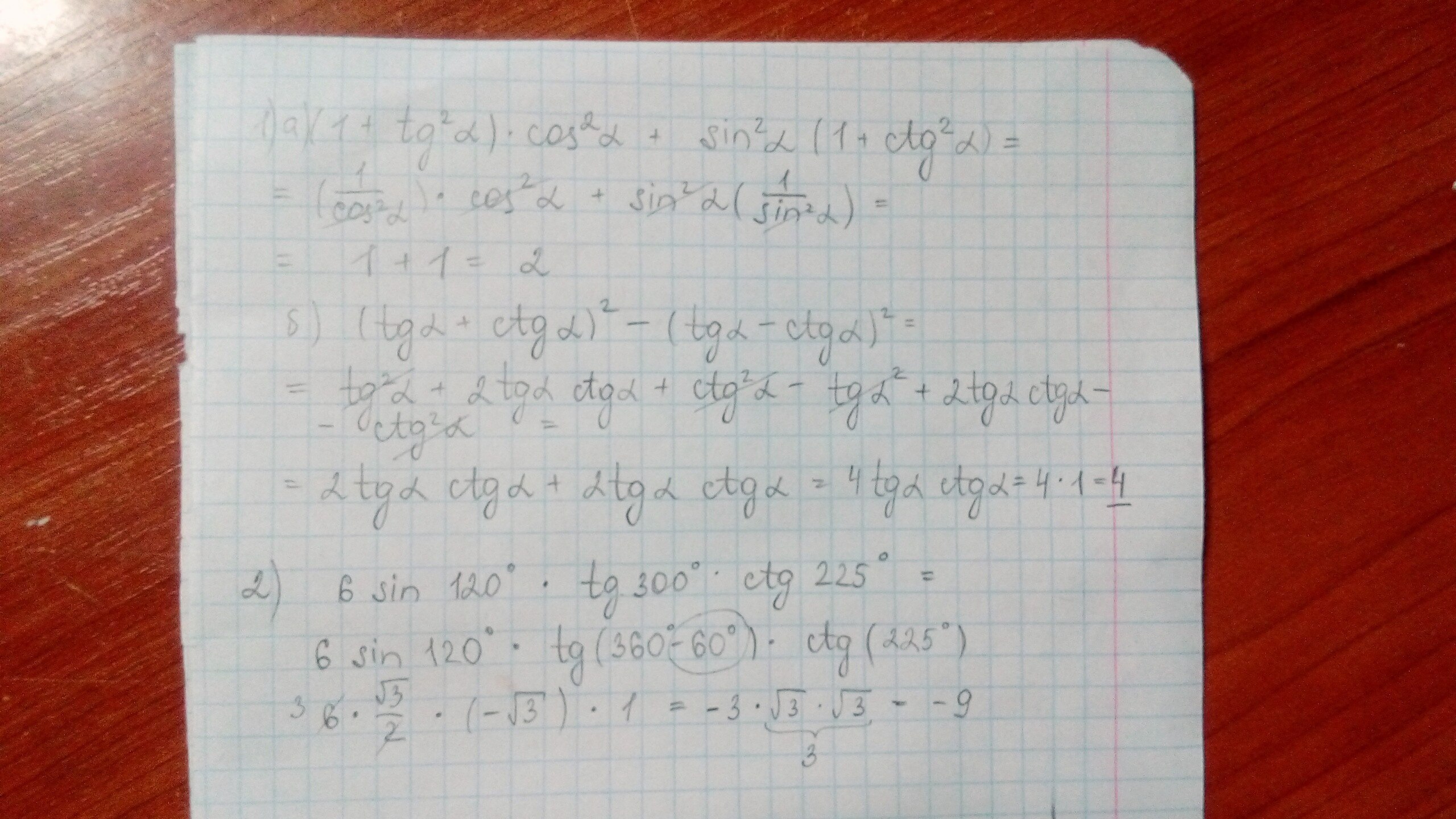
1) Упростите:
а) (1+tg^2 альфа)*cos^2 альфа+sin^2 альфа*(1+ctg^2 альфа)
б) (tg альфа+ctg альфа)^2 - (tg альфа-ctg альфа)^2
2) Вычислите: 6sin120*tg300*ctg225
Ответы
Ответ дал:
0
Если что не понятно в ответе, то пиши. Отвечу.
Приложения:

Вас заинтересует
2 года назад
7 лет назад
7 лет назад