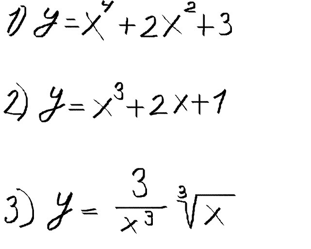
ПОМОГИТЕ ПОЖАЛУЙСТА!!! определить четность и нечетность функций. Только упрощенно. На первой картинке задачи, а на второй картинке пример как решать.
P.S. можно решение картинкой отправить.
Приложения:


Ответы
Ответ дал:
0
Четная у(х) = у(-х), все остальное, соответственно, нечетная. Таким образом, те выражения, где только четные степени х или х нет вообще - функции четные, остальные - нечетные.
Ответ дал:
0
сколько будет -1 умножить на -1 ?
Ответ дал:
0
Это будет 1
Ответ дал:
0
И это будет х в квадрате при х=-1
Ответ дал:
0
А х в кубе при х= -1 будет -1 умножить на -1 и умножить на -1
Ответ дал:
0
а корень кубический из -1 будет -1
Вас заинтересует
2 года назад
2 года назад
7 лет назад
9 лет назад