СРОЧНО! ПОМОГИТЕ ПОЖАЛУЙСТА!!! определить четность и нечетность функций. Только упрощенно. На первой картинке задачи, а на второй картинке пример как решать.
P.S. можно решение подробно написать и картинкой отправить.
Приложения:


Ответы
Ответ дал:
0
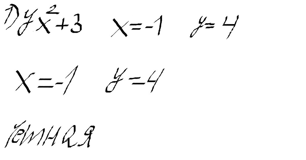
y=x⁴+2x²+3
x=1 y=1⁴+2*1²+3=1+2+3=6
x=-1 y=(-1)⁴+2*(-1)²+3=1+2+3=6
Знак функции при изменении знака аргумента не изменился, значит функция чётная.
y=x³+2x+1
x=1 y=1³+2*1+1=1+2+1=4
x=-1 y=(-1)³+2*(-1)+1=-1-2+1=-2
Изменился знак функции и значение функции, значит функция не является ни чётной, ни нечётной. Такие функции называют функциями общего вида.
y=(3/x³)∛x
x=1 y=(3/1³)∛1=(3/1)*1=3
x=-1 y=(3/(-1)³)∛(-1)=(3/(-1))*(-1)=-3*(-1)=3
Функция чётная.
x=1 y=1⁴+2*1²+3=1+2+3=6
x=-1 y=(-1)⁴+2*(-1)²+3=1+2+3=6
Знак функции при изменении знака аргумента не изменился, значит функция чётная.
y=x³+2x+1
x=1 y=1³+2*1+1=1+2+1=4
x=-1 y=(-1)³+2*(-1)+1=-1-2+1=-2
Изменился знак функции и значение функции, значит функция не является ни чётной, ни нечётной. Такие функции называют функциями общего вида.
y=(3/x³)∛x
x=1 y=(3/1³)∛1=(3/1)*1=3
x=-1 y=(3/(-1)³)∛(-1)=(3/(-1))*(-1)=-3*(-1)=3
Функция чётная.
Вас заинтересует
2 года назад
7 лет назад
7 лет назад
9 лет назад