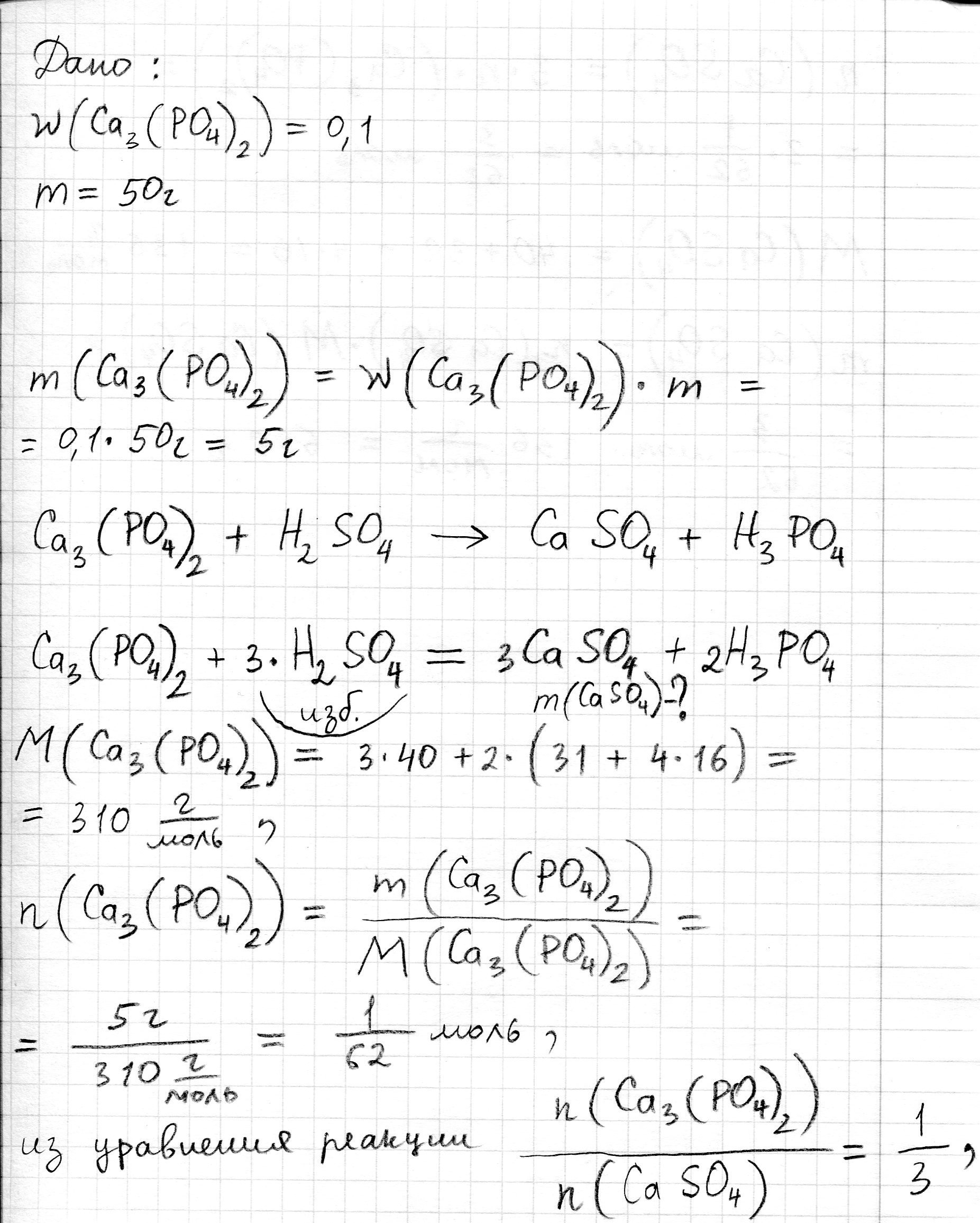
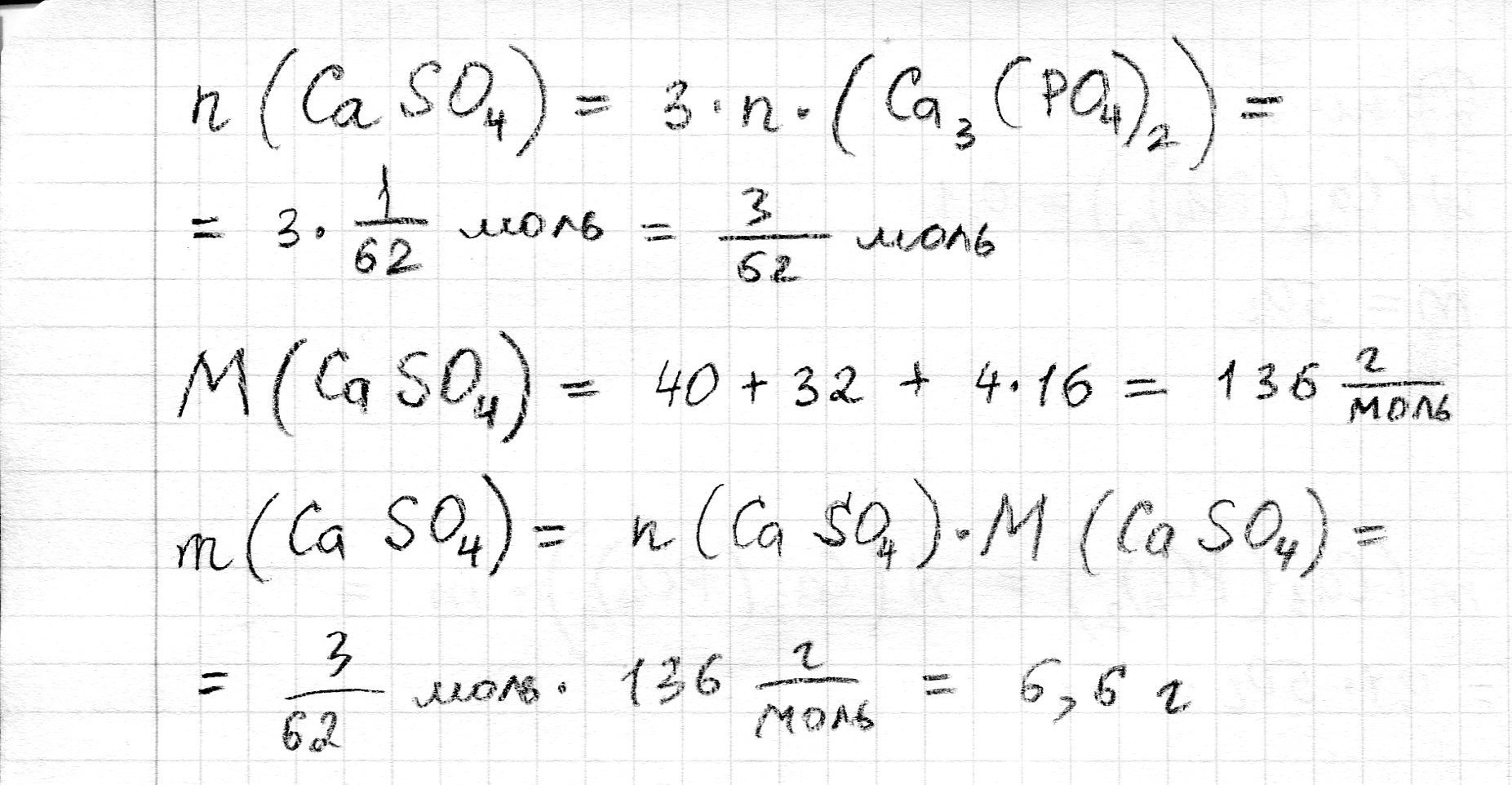
рассчитайте массу соли образующуюся в результате между избытком серной кислоты и образцом массой 50 г ,содержащим 10% фосфата кальция.
пожаааааааааааааалуйстаааа♥
Ответы
Ответ дал:
0
Находим массу чистого фосфата кальция
50гр------------100%
х гр-------------10%
з=50*10/100=5 гр
составлем уравнение
5 x
Ca3(PO4)2+3H2SO4=3CaSO4+2H3PO4
40*3+95*2 3*(40+96)
405 408
5гр----------------------------згр
405-----------------------408
х=5*408/405=5,02 гр осадка
50гр------------100%
х гр-------------10%
з=50*10/100=5 гр
составлем уравнение
5 x
Ca3(PO4)2+3H2SO4=3CaSO4+2H3PO4
40*3+95*2 3*(40+96)
405 408
5гр----------------------------згр
405-----------------------408
х=5*408/405=5,02 гр осадка
Ответ дал:
0
спасибо тебе огромное)))))))))
Ответ дал:
0
на листочках написал. ------->
Приложения:


Вас заинтересует
2 года назад
7 лет назад
7 лет назад
9 лет назад
10 лет назад
10 лет назад