• Предмет: Математика
  • Автор: vkgeorgi
  • Вопрос задан 9 лет назад

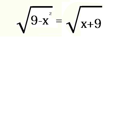
Помогите решить уравнения! Умаляю!! Обязательно с решением. Даю 40 баллов!

Приложения:

Ответы

Ответ дал: SMA111
0
√21+4х=х | возводим в квадрат
21+4х=х²
-х²+4х+21=0 | •(-1)
x²-4x+-21=0
D=-4²-(-4)×-(21)×1=16+84=100=10²
x1=4+10/2=7
x2=4-10/2=-3

Вас заинтересует