Ответы
Ответ дал:
0
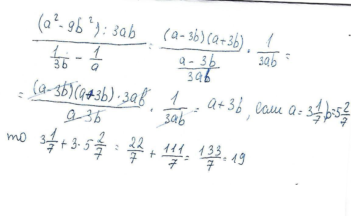
Хм... ну как бы вот, смотри в скане
Приложения:

Ответ дал:
0
Благодарю, немного не так, но суть та же.
Ответ дал:
0
ну, ты так расписал)
Ответ дал:
0
Я всё понял, спасибки.
Вас заинтересует
2 года назад
7 лет назад
7 лет назад
9 лет назад
10 лет назад