Пожалуйста помогите решить уравнения.
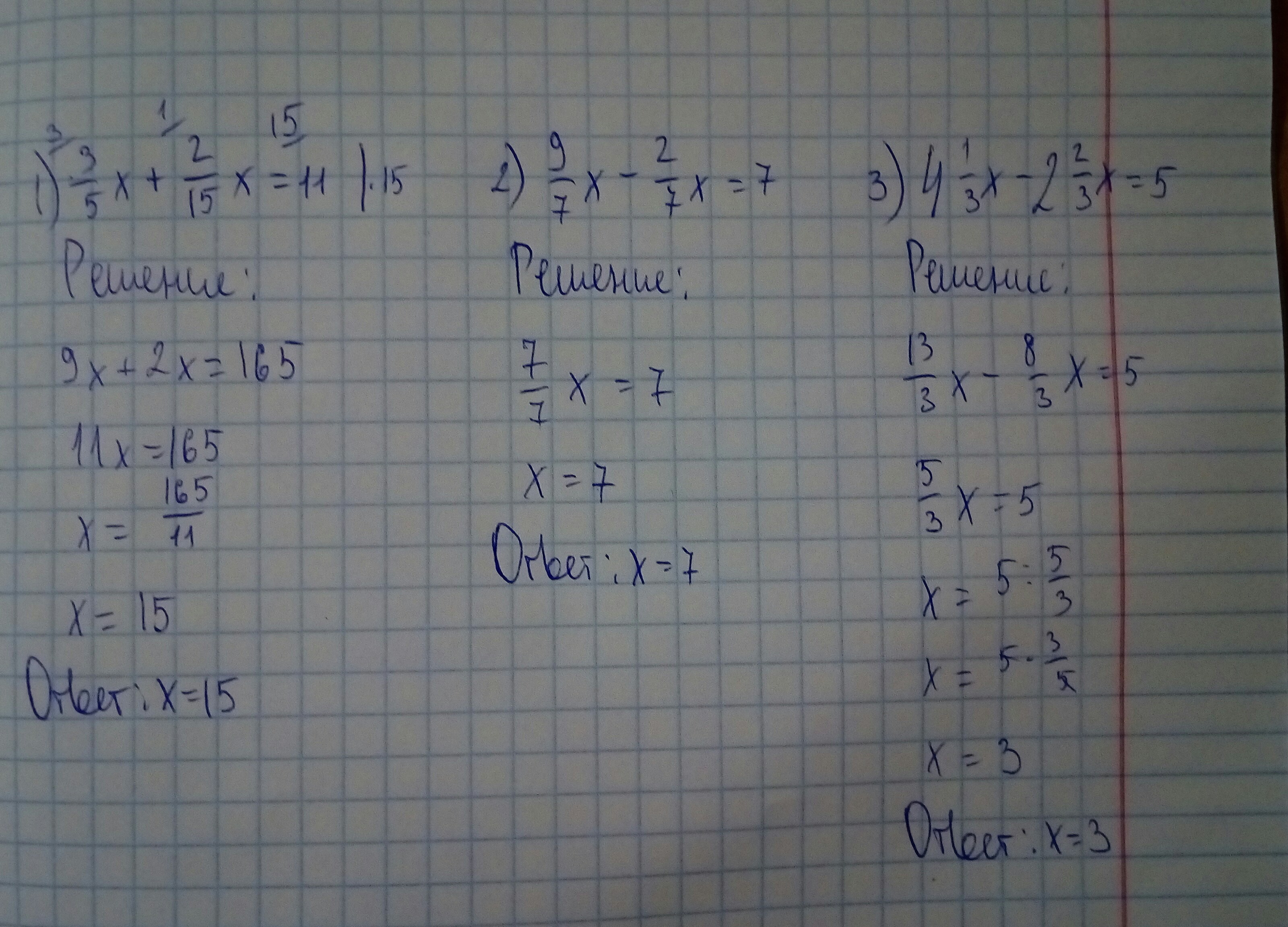
1) 3/5х + 2/15х = 11 2) 9/7х - 2/7х = 7. 3) 4 1/3х - 2 2/3х = 5
Ответы
Ответ дал:
0
Ответ во вложении....
Приложения:
Ответ дал:
0
3/5х + 2/15х = 11
х(3/5+2/15)=11
11/15x=11
x=11:11/15
x=15 Все остальные аналогично
х(3/5+2/15)=11
11/15x=11
x=11:11/15
x=15 Все остальные аналогично
Приложения:
Вас заинтересует
7 лет назад
10 лет назад
10 лет назад
10 лет назад