• Предмет: Математика
  • Автор: Аноним
  • Вопрос задан 9 лет назад

ПЖ !
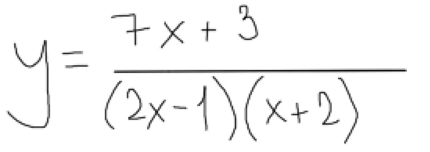
Найти область определения функции

Приложения:

Ответы

Ответ дал: ded911
0
Если построить график этой функции, то получим следующую область:
(-∞;-2)∪(-2;0,5)∪(0,5;+∞)
Вас заинтересует