Ответы
Ответ дал:
0
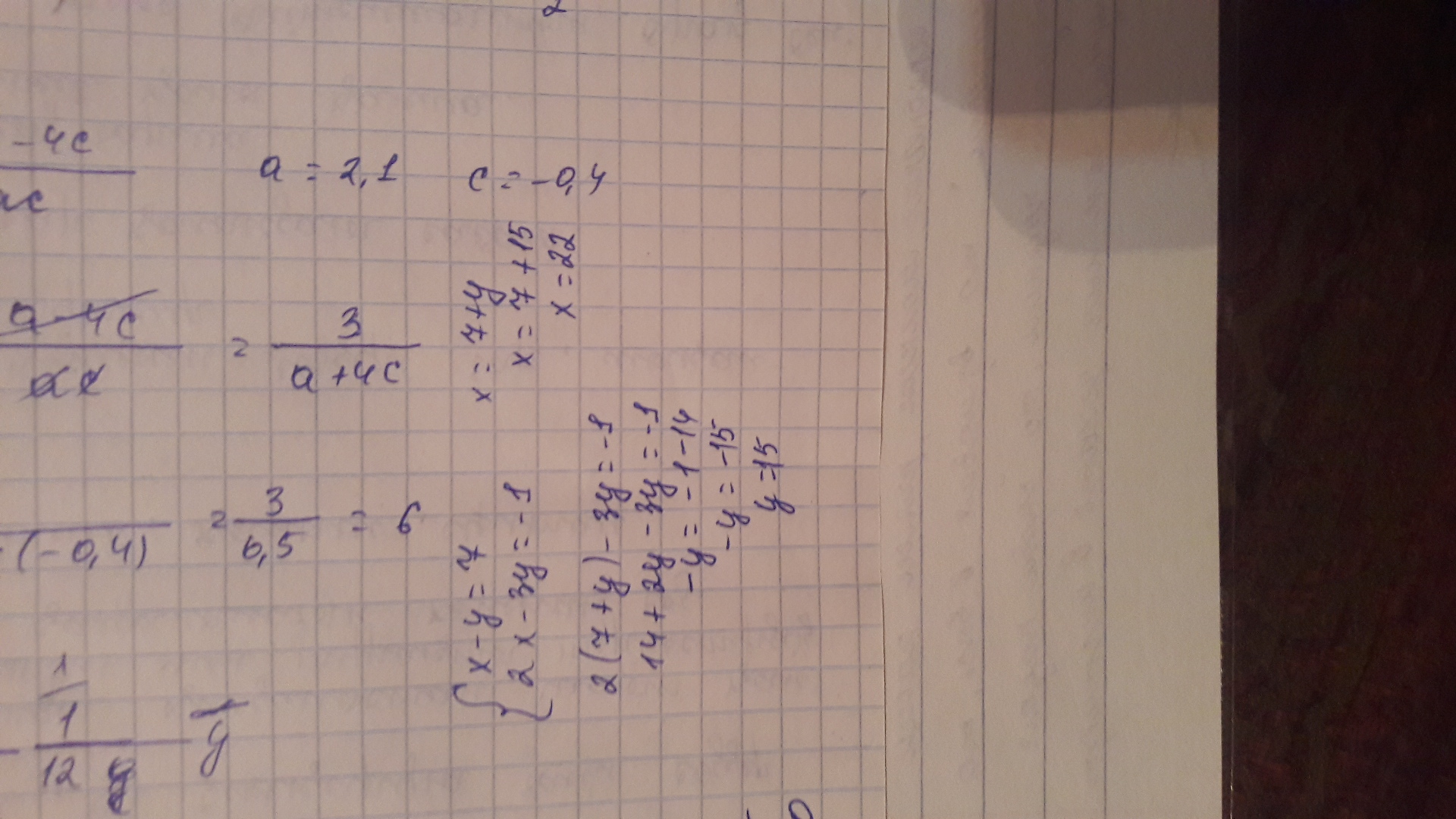
х-y=7 I 2
2x-3y=-1
2х-2у=14
2х-3у=-1
вычтем
у=15
х=7+у=22
(22;15)
2x-3y=-1
2х-2у=14
2х-3у=-1
вычтем
у=15
х=7+у=22
(22;15)
Ответ дал:
0
или можно еще та решать
Приложения:

Вас заинтересует
2 года назад
7 лет назад
7 лет назад
9 лет назад
9 лет назад