РЕШИТЕ ПОЖАЛУЙСТА ЗАДАНИЕ ВО ВЛОЖЕНИИ (РИСУНКОМ) ОТ ЭТОГО ЗАВИСИТ МОЯ ГОДОВАЯ ОЦЕНКА!!!!!!!!!!!!


Ответы
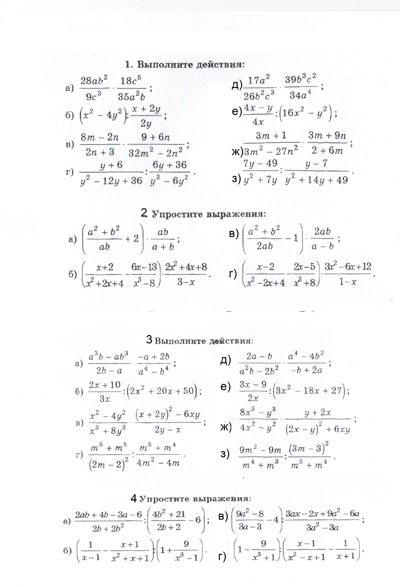
Решение смотри во вложении только №1......

1) 1.2<x<1.3
4<y<5
x может быть 1.21-1.29 и спериодами учитывая
P=2(x+y)= 2(1.25+4.5)=11.5
P=2(x+y)=2(1.26+4.6)= 11.72
то есть периметр лежит на интервале от 11 до 12
S= 1.25*4.5= 6.625
S= 1.26*4.6=5.796
S= 4.961
то есть площадь от 4 до 7
2)
4<x<5
1<y<2
xy=4.51
xy= 9.31
На интервале от 4,5 до 9,5 грубо
2x-y
2*4.1-1.1 = 7.1
2*4.9-1.9= 7.9
На интервале от 7 до 8
x+3y
4.1+3*1.1= 7.4
4.9+3 *1.9 =10.6
На интервале от 7 до 11
x/y= 3.72
x/y= 2.57
От 2,5 до 4 прогрешностью
3) так же!
4) 2,4<a<2.6
3.6<b<4
Средняя линия равна
m=(a+b)/2 оценим снизу сначала
m=2.5+3.7/2=3.1
m= 3.15
m= 3.2
с учетом прогрешностей до тысячных то и больше варьируеться
от 3 до 3,5
5) 1,1<=a<1.2
P=3a =1.1*3=3.3
P=3a= 1.2*3=3.6
то есть от 3,3 до 3,6 и не больше и не меньше!!!!
6 )
1,7<V3<1.8
-4V3 оценим грубо
-4*1.75 =-7
-4*1.72 =-6.88
-4*1.77= -7.08
то есть варъеруеться на интервале -6,5 до 7,5 это округляя то тысячхных и больше
****
7) 5,1<a<5.2
2.9<b<3
P=a+2b=5.12+2*2.95 =11.02
P=5. 13+2*2.9=10.93
Варъирует от 10 до 11,5
