Ответы
Ответ дал:
0
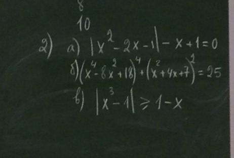
б)В первой скобке дискриминант меньше нуля,значит там корней нет и мы её отбрасываем,получаем,что (вторая скобка) в квадрате равна 25.Значит вторая скобка равна 5 или -5.,значит или х^2+4*х+7=5 или х^2 + 4*х +7=-5,значит по дискриминанту находим иксы: -2 (тут знак плюс-минус) корень из двух ,а при -5 дискриминант меньше ноля,значит только эти два икса
в)раскроем модуль с плюсом и минусом
С плюсом:
х (в кубе) - 1 >= 1- х
х(в кубе) + х -2 >=0,значит х>1
С минусом:
- х(в кубе) +1 >= 1-х
-х(в кубе) >= -x
Т.е. (х меньше минус одного) тут знак объединения(х от 0 до 1 влючительно)
Удачи,и чтоб потом самому быстро это решать скачай Photomath))
в)раскроем модуль с плюсом и минусом
С плюсом:
х (в кубе) - 1 >= 1- х
х(в кубе) + х -2 >=0,значит х>1
С минусом:
- х(в кубе) +1 >= 1-х
-х(в кубе) >= -x
Т.е. (х меньше минус одного) тут знак объединения(х от 0 до 1 влючительно)
Удачи,и чтоб потом самому быстро это решать скачай Photomath))
Вас заинтересует
3 года назад
7 лет назад
7 лет назад
10 лет назад
10 лет назад
10 лет назад