Ответы
Ответ дал:
0
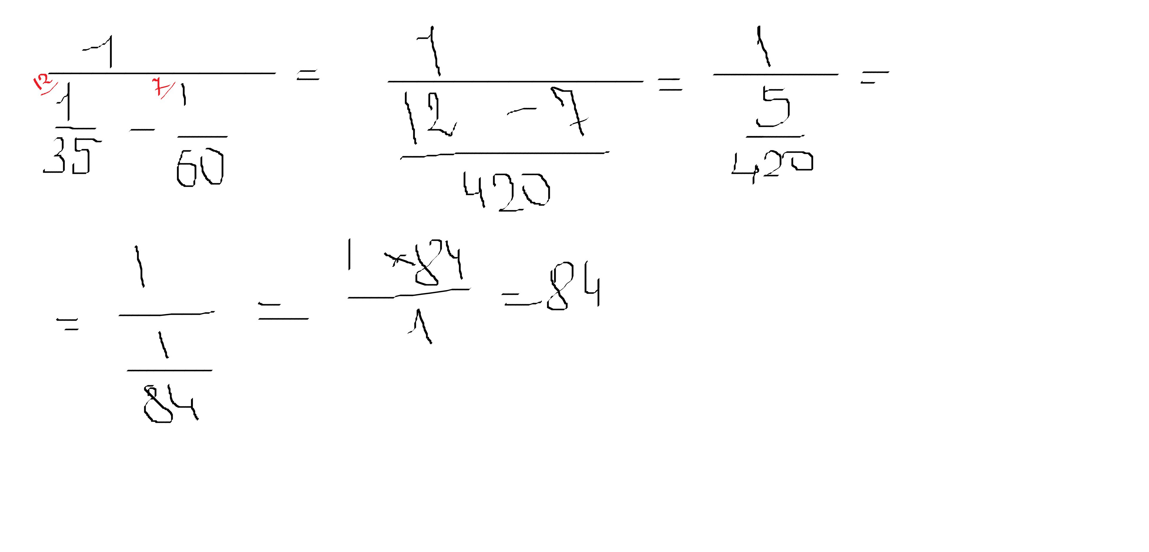
приводим к общему знаменателю, вычесляем, а потом просто из многоэтажной дроби делаем обычную, потому что чтобы разделить на дробь, нужно домножить на дробь, обратную данной
Приложения:

Ответ дал:
0
спасибоо)))выручили
Ответ дал:
0
надеюсь видно)
......
......
Приложения:

Ответ дал:
0
спасибо огромное )))
Вас заинтересует
2 года назад
2 года назад
7 лет назад
7 лет назад
9 лет назад
10 лет назад