найдите допустимые значения переменной в выражении.
как такое решать? обьясните
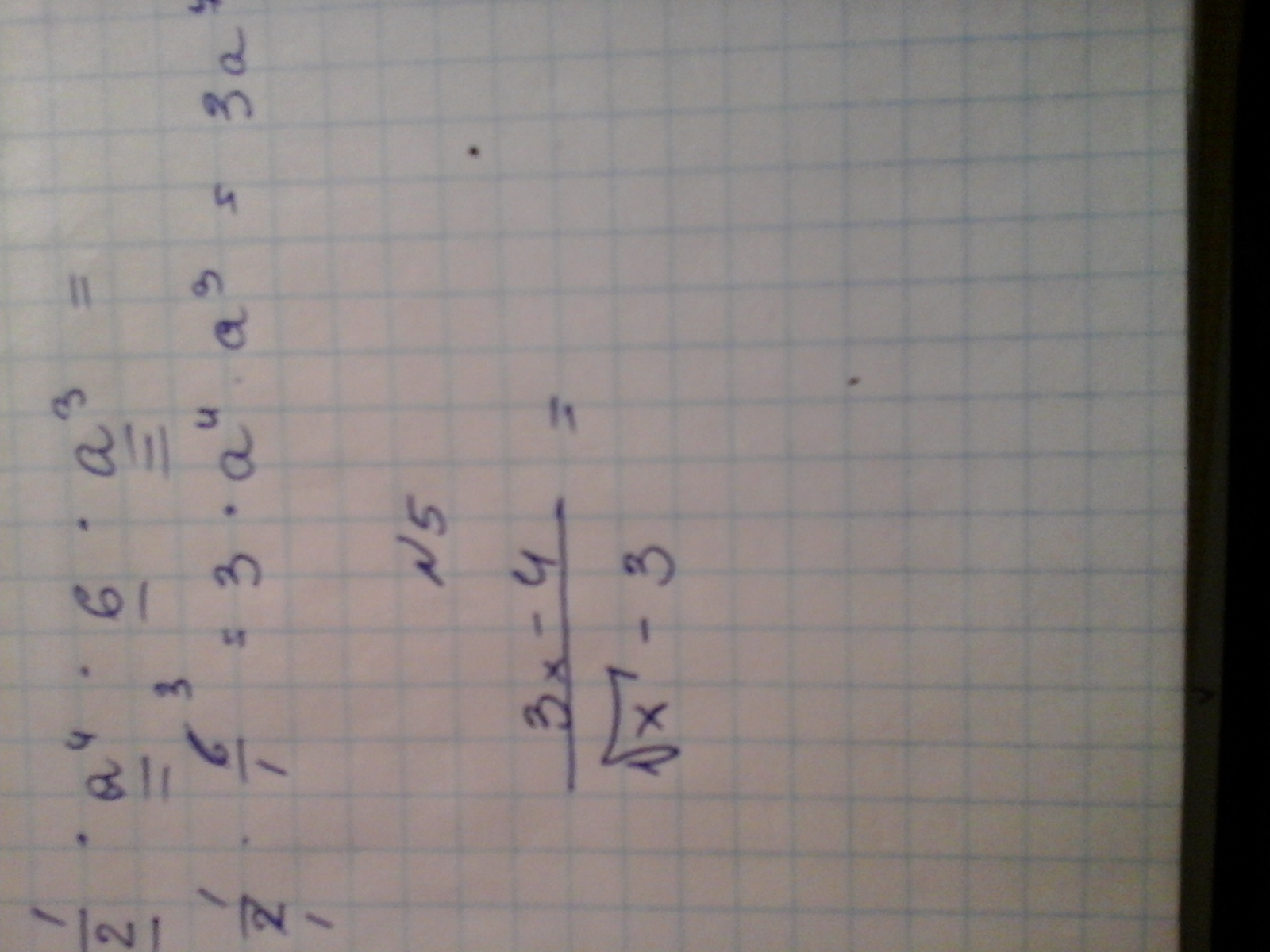
номер 5
Приложения:
Ответы
Ответ дал:
0
Допустимые значения для x: x>=0 , т.к. нельзя брать корень из отрицательного числа.

Ответ дал:
0
В условии разве написано что дробь равна 0?
Ответ дал:
0
нет
Вас заинтересует
3 года назад
7 лет назад
7 лет назад
10 лет назад
10 лет назад
10 лет назад