• Предмет: Алгебра
  • Автор: gulitte
  • Вопрос задан 9 лет назад

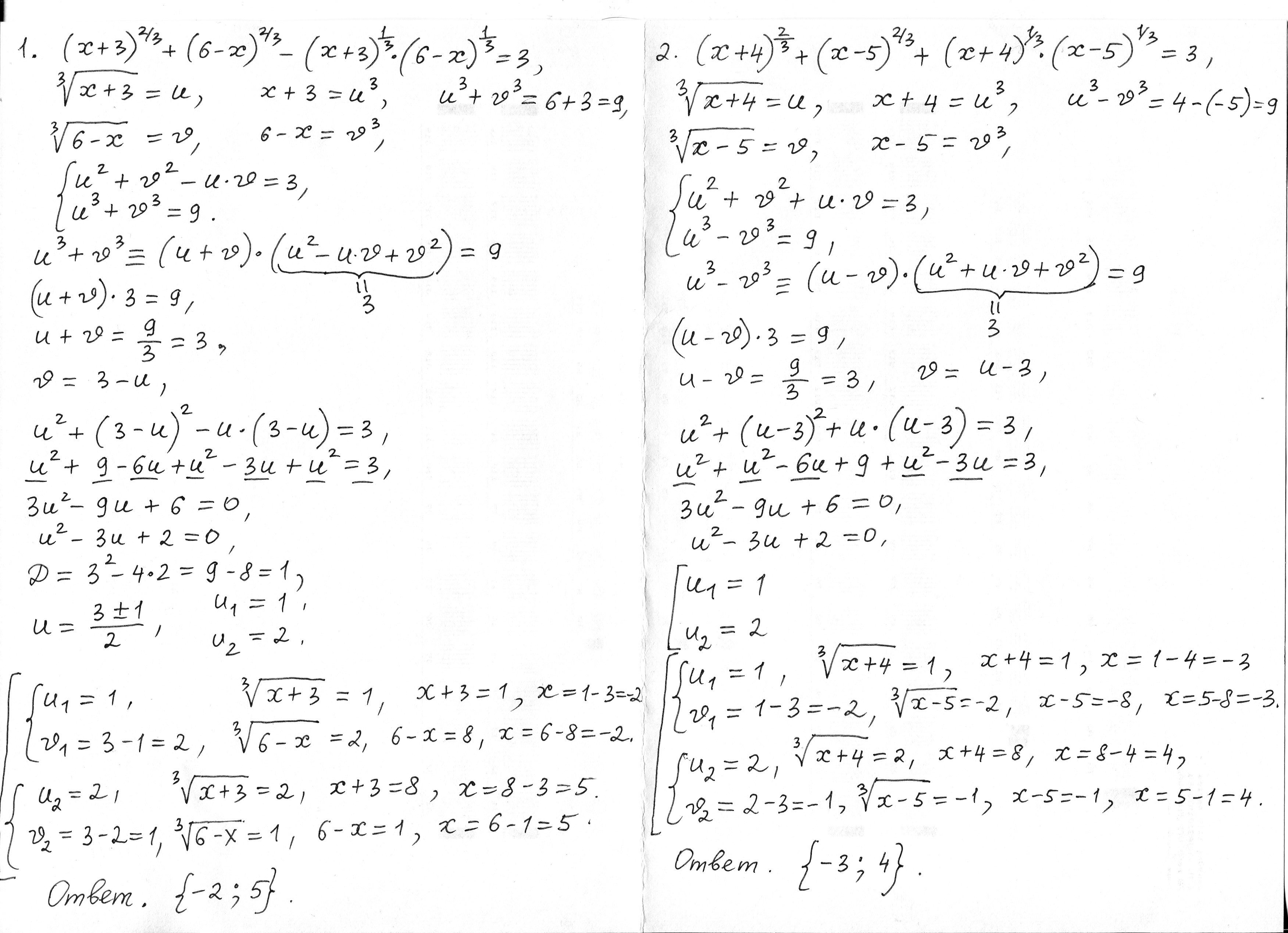
1. ∛(x+3)² + ∛(6-x)² - ∛(x+3)(6-x) = 3
2. ∛(x+4)² + ∛(x-5)² + ∛(x+4)(x-5) = 3
3. ∛(8-x)² + ∛(27+x)² = ∛(8-x)(27+x) + 7

Ответы

Ответ дал: Аноним
0
Решил на листочках, прикрепил ниже ==>>
Приложения:
Вас заинтересует