Ответы
                                            Ответ дал: 
                                                                                    
                                        
                                            
                                                
                                                
                                                
                                                    0
                                                
                                            
                                        
                                    
                                        Задание 1) Для решения избавьтесь от знаменателя. По основному свойству дроби: если умножить числитель или знаменатель дроби на одно и тоже число, получим дробь равную данной.  Обращаем внимание, что х+5 в знаменателе не может быть равен нулю!!! Поэтому отдельной строкой смотрим, чему равен х+5=0, х=-5 - это не будет являться корнем уравнения ТОЧНО!
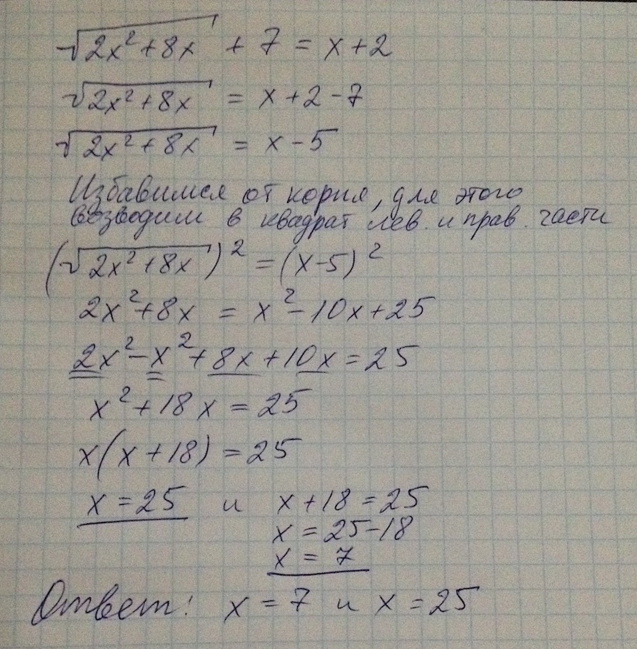
2)В уравнении также используем правило, как избавиться от корня. Возводим левую и правую части уравнения в квдрат.
                                                2)В уравнении также используем правило, как избавиться от корня. Возводим левую и правую части уравнения в квдрат.
Приложения:
                     
                             
                            
                                            Ответ дал: 
                                                                                    
                                        
                                            
                                                
                                                
                                                
                                                    0
                                                
                                            
                                        
                                    
                                        Спасибо большое ,очень помогли
                                    
                                        
                                        
                                Вас заинтересует
                
                        2 года назад
                    
                
                        2 года назад
                    
                
                        7 лет назад
                    
                
                        9 лет назад
                    
                
                        10 лет назад
                    
                