100 баллов! Логарифмы. Преобразовать до красивого ответа. Ответ есть. Хочу проверить! Просьба подробно расписывать и не делать ошибок, иначе не принимаю ответ
Приложения:

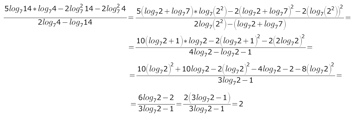
Ответы
Ответ дал:
0
использованы свойства логарифмов
(--сумма логарифмов=логарифму произведения)))
и формулы сокращенного умножения
(--квадрат суммы)
...и приведение подобных...
(--сумма логарифмов=логарифму произведения)))
и формулы сокращенного умножения
(--квадрат суммы)
...и приведение подобных...
Приложения:

Вас заинтересует
2 года назад
7 лет назад
7 лет назад
10 лет назад