• Предмет: Математика
  • Автор: LOOKKEE
  • Вопрос задан 9 лет назад

Помогите пожалуйста с подробным решением,50 баллов дам,кто решит правильно...
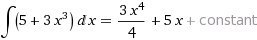
Вычислить интеграл:
 intlimits^1_0( {5+3x}^3) , dx

Ответы

Ответ дал: Ириска2345
0
Вот такое решение:(думаю правильно)
Приложения:
Ответ дал: LOOKKEE
0
я там блин ошиблась ,и тройку не туда поставила((
Ответ дал: Ириска2345
0
ну, ничего
Ответ дал: Ириска2345
0
забей в нете: калькулятор вычислить интеграл
Ответ дал: LOOKKEE
0
я делала так,только там непонятно,на экзамене подробно спрашивают,что да как,столько уже видеоуроков просмотрела,ничего не понятно
Вас заинтересует