Ответы
Ответ дал:
0
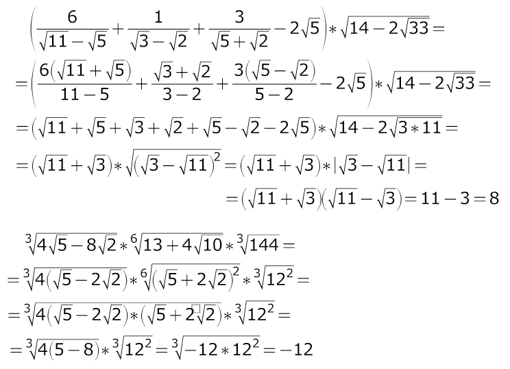
основная формула -- разность квадратов)))
для дробей удобнее всего избавляться от иррациональности в знаменателе (на основе той же формулы)))
под корнем (если возможно) выделять полный квадрат...
для дробей удобнее всего избавляться от иррациональности в знаменателе (на основе той же формулы)))
под корнем (если возможно) выделять полный квадрат...
Приложения:
Ответ дал:
0
Спасибо огромное))
Вас заинтересует
2 года назад
7 лет назад
7 лет назад
10 лет назад
10 лет назад