Ответы
Ответ дал:
0
В 3 задании все просто. Ты должен просто решить пример не смотря на скобки и степени (т. к. они удалятся при решении).
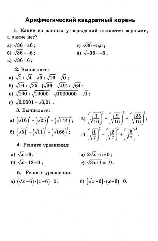
4 задание распишу подробно.
а) корень (x)=9, перенесем корень в правую часть, получим: x=корень 9=
x=3.
б) корень (x)-12=0, перенесем 12 в правую часть выражения, получим: корень x=12. x=корень 12. x=корень(3*4) (т. к. 3*4=12), x=2*корень 3
в) 2*корень x-5=0, 2*корень x=5, корень x=5:2=2,5.
г) корень (3x+1)=-9, перенесем корень в правую часть выражения, получим: 3x+1=3, 3x=3-1=2, x=2:3
4 задание распишу подробно.
а) корень (x)=9, перенесем корень в правую часть, получим: x=корень 9=
x=3.
б) корень (x)-12=0, перенесем 12 в правую часть выражения, получим: корень x=12. x=корень 12. x=корень(3*4) (т. к. 3*4=12), x=2*корень 3
в) 2*корень x-5=0, 2*корень x=5, корень x=5:2=2,5.
г) корень (3x+1)=-9, перенесем корень в правую часть выражения, получим: 3x+1=3, 3x=3-1=2, x=2:3
Ответ дал:
0
А 5?
Ответ дал:
0
раскрой скобки и посмотри что получится!
Ответ дал:
0
Шас попробую рушить
Ответ дал:
0
При умножении скобка на скобку сокращается корень
Ответ дал:
0
Ответ какой получился? Мне проверить надо
Вас заинтересует
2 года назад
2 года назад
7 лет назад
7 лет назад
10 лет назад
10 лет назад
10 лет назад