Ответы
Ответ дал:
0
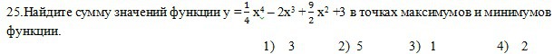
Дана функция 
Находим производную:
y' = x³ - 6x² + 9x = x(x² - 6x + 9) = x(x -3)².
Если приравняем производную нулю, то получим 2 критические точки:
х = 0 и х = 3. Их сумма равна 3, это ответ 1).
Находим производную:
y' = x³ - 6x² + 9x = x(x² - 6x + 9) = x(x -3)².
Если приравняем производную нулю, то получим 2 критические точки:
х = 0 и х = 3. Их сумма равна 3, это ответ 1).
Вас заинтересует
2 года назад
2 года назад
7 лет назад
7 лет назад
10 лет назад
10 лет назад
10 лет назад