Ответы
Ответ дал:
0
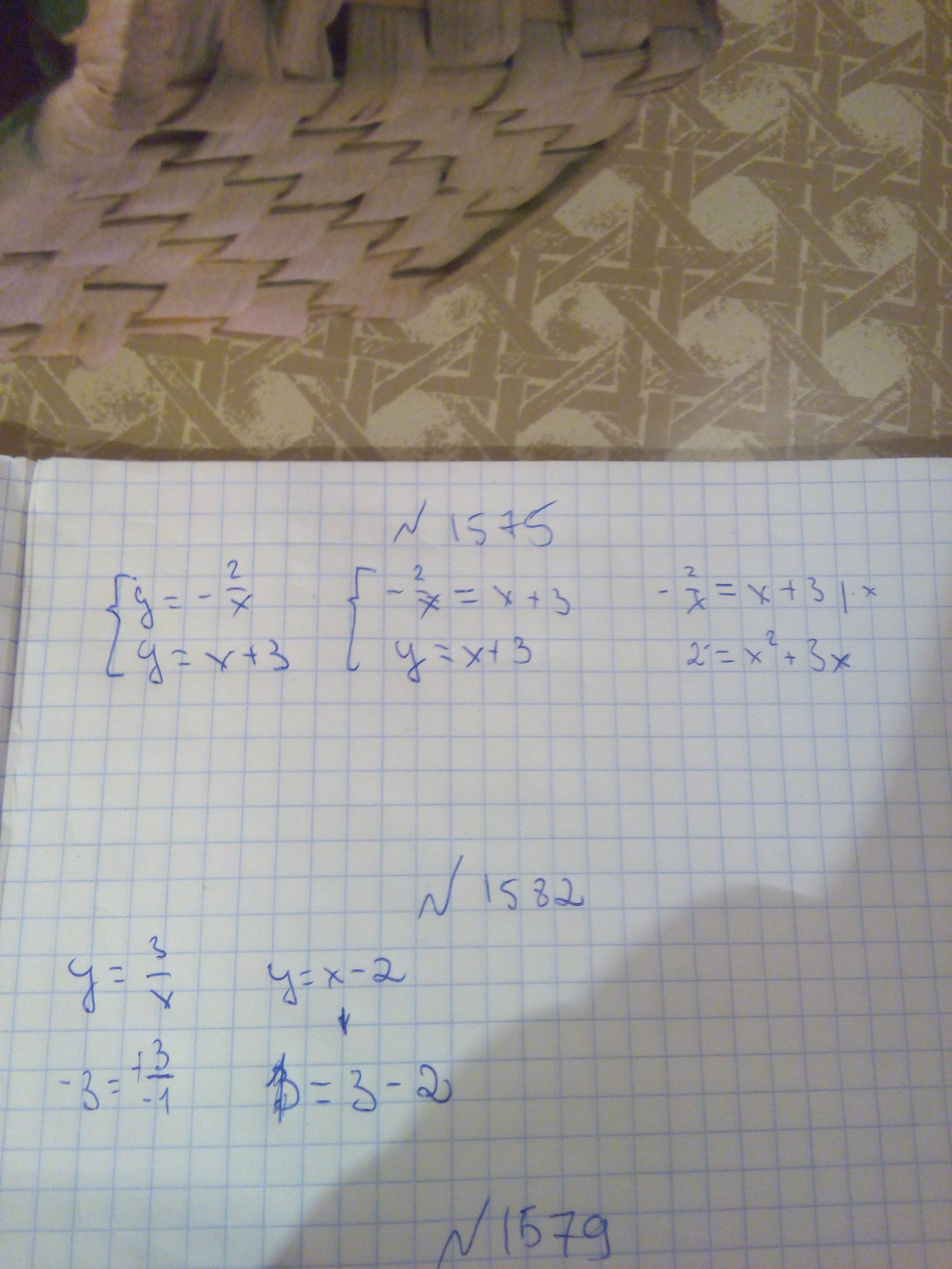
Приводишь к общему знаменателю

Затем решаешь это:
ОДЗ находишь и дробь = 0, если ее числитель = 0
Решаешь квадратное уравнение

Корни -2 и -1
И система распадется на 2:
x=-2, y=x+3 и x=-1, y=x+3
Решив эти 2 системы получаем ответы:
(-2;1) и (-1;2)
Затем решаешь это:
ОДЗ находишь и дробь = 0, если ее числитель = 0
Решаешь квадратное уравнение
Корни -2 и -1
И система распадется на 2:
x=-2, y=x+3 и x=-1, y=x+3
Решив эти 2 системы получаем ответы:
(-2;1) и (-1;2)
Вас заинтересует
3 года назад
7 лет назад
7 лет назад
10 лет назад
10 лет назад
10 лет назад