Ответы
Ответ дал:
0
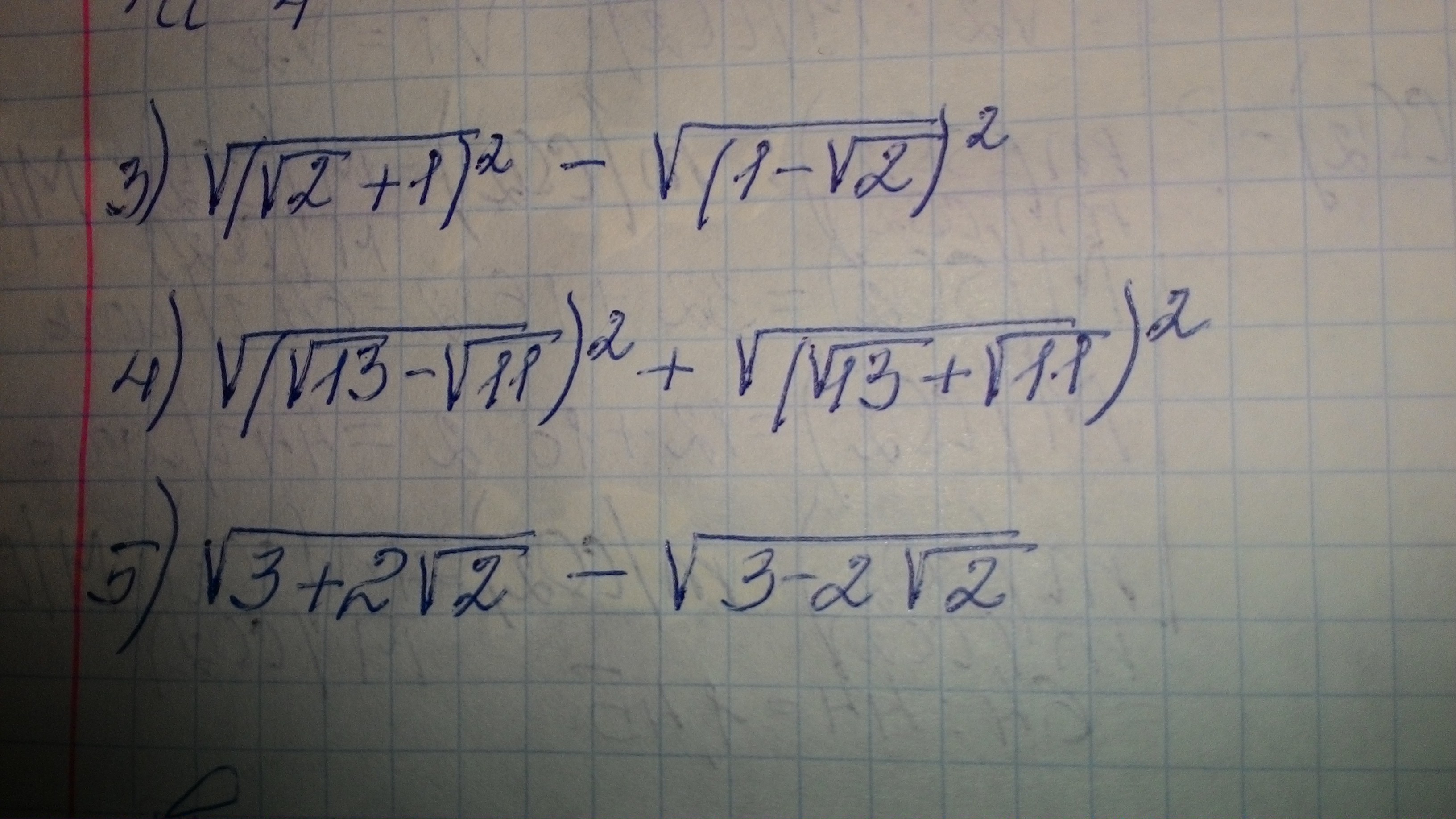
√(√(2)+1)² -√(1-√(2))² =√(2)+1-1+√(2) = 2√2
√(√(13)-√(11))²+√(√(13)+√(11))² = √(13)-√(11)+√(13)+√(11) = 2√(13)
√(3+2√(2)) - √(3-2√(2)) = √(2+2√(2)+1) - √(2-2√(2)+1) =√(√(2)+1)² - √(√(2)-1)²=
= √(2)+1 - √(2)+1)=2
√(√(13)-√(11))²+√(√(13)+√(11))² = √(13)-√(11)+√(13)+√(11) = 2√(13)
√(3+2√(2)) - √(3-2√(2)) = √(2+2√(2)+1) - √(2-2√(2)+1) =√(√(2)+1)² - √(√(2)-1)²=
= √(2)+1 - √(2)+1)=2
Ответ дал:
0
ух,ты ...нет слов,очень благодарен!!!!
Вас заинтересует
3 года назад
3 года назад
7 лет назад
7 лет назад
10 лет назад
10 лет назад
10 лет назад
10 лет назад