• Предмет: Математика
  • Автор: 234Masha234
  • Вопрос задан 9 лет назад

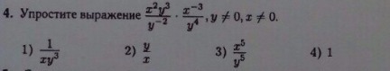
Упростите выражение...........

Приложения:

Ответы

Ответ дал: TequilaSunrise
0
буква а будет являться правильным ответом )
Ответ дал: 234Masha234
0
А можно решение?
Ответ дал: TequilaSunrise
0
х^2*у^2/у^-1 * х^-3/у^4 = х^2*у * х^-3/у^4= х^-1*у^-3 = 1/х^1*у^3
Вас заинтересует