Ответы
Ответ дал:
0
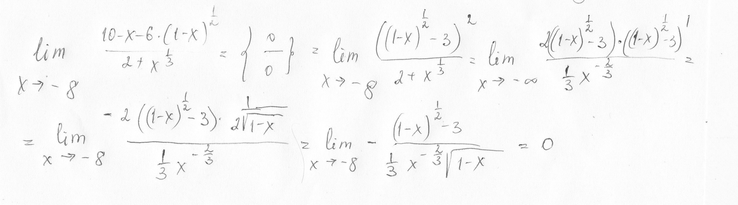
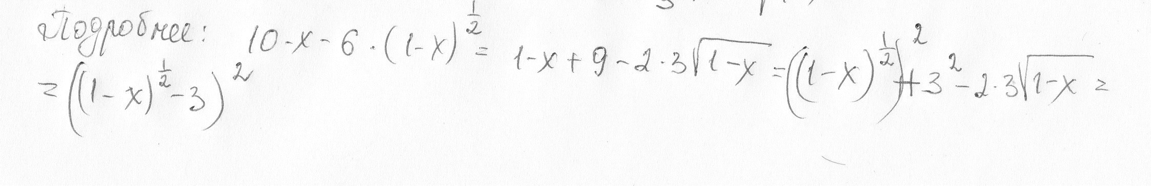
Правило Лопиталя. Свернуть числитель. Предел равен ноль
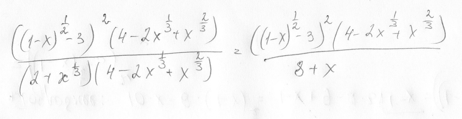
Если домножать на сопряженное - в знаменателе сумма кубов.
Если домножать на сопряженное - в знаменателе сумма кубов.
Приложения:



Ответ дал:
0
Помогите, пожалуйста, еще с одной задачкой, если нетрудно
Ответ дал:
0
кидайте
Ответ дал:
0
Вычислить предел при х стремящимся к pi (ctg(x/4))^(1/cos(x/2))
Ответ дал:
0
тот же Лопиталь...
Ответ дал:
0
то есть без него никак. если препод требует решить как-то иначе, значит можно найти решение
Вас заинтересует
2 года назад
7 лет назад
9 лет назад
9 лет назад