Ответы
Ответ дал:
0
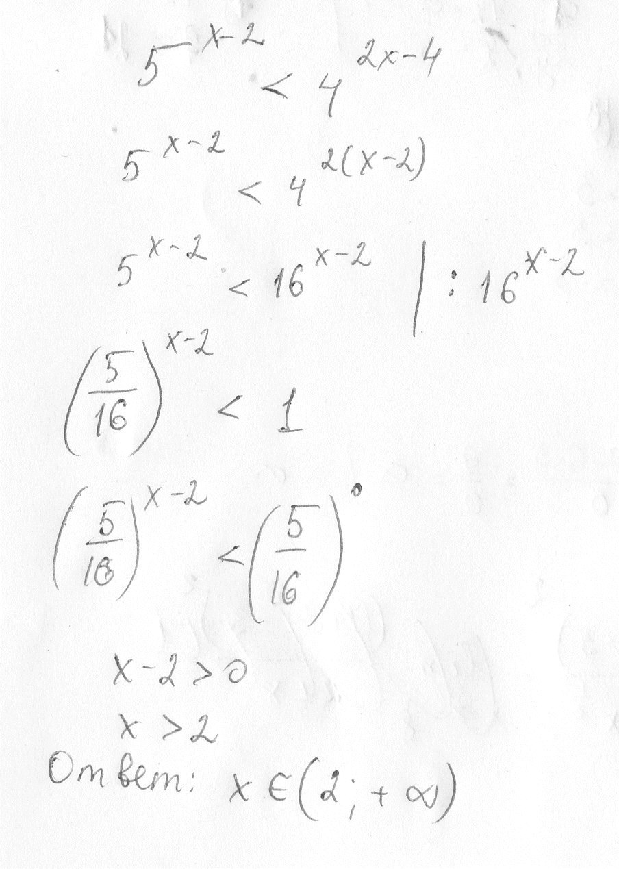
решение на картинке ниже
Приложения:

Вас заинтересует
2 года назад
7 лет назад
7 лет назад
9 лет назад