• Предмет: Алгебра
  • Автор: mzhiganov
  • Вопрос задан 9 лет назад

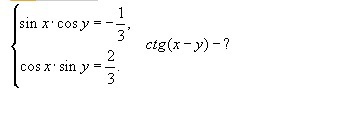
Решите систему неравенств!!!

Приложения:

Ответы

Ответ дал: tana199004
0
.... ... ... ...
... ... .............
Приложения:
Вас заинтересует