• Предмет: Алгебра
  • Автор: shakirau100500
  • Вопрос задан 9 лет назад

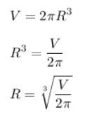
Из формулы объема цилиндра, у которого диаметр основания равен высоте, - V=2πr³, где r - радиус основания, выразите радиус.
Большая просьба помочь!

Ответы

Ответ дал: Regent1828
0
displaystyle V=2 pi R^{3}  \  \ R^{3}= frac{V}{2 pi }  \  \ R= sqrt[3]{ frac{V}{2 pi } }
Приложения:
Вас заинтересует