• Предмет: Математика
  • Автор: worldsasha2013
  • Вопрос задан 9 лет назад

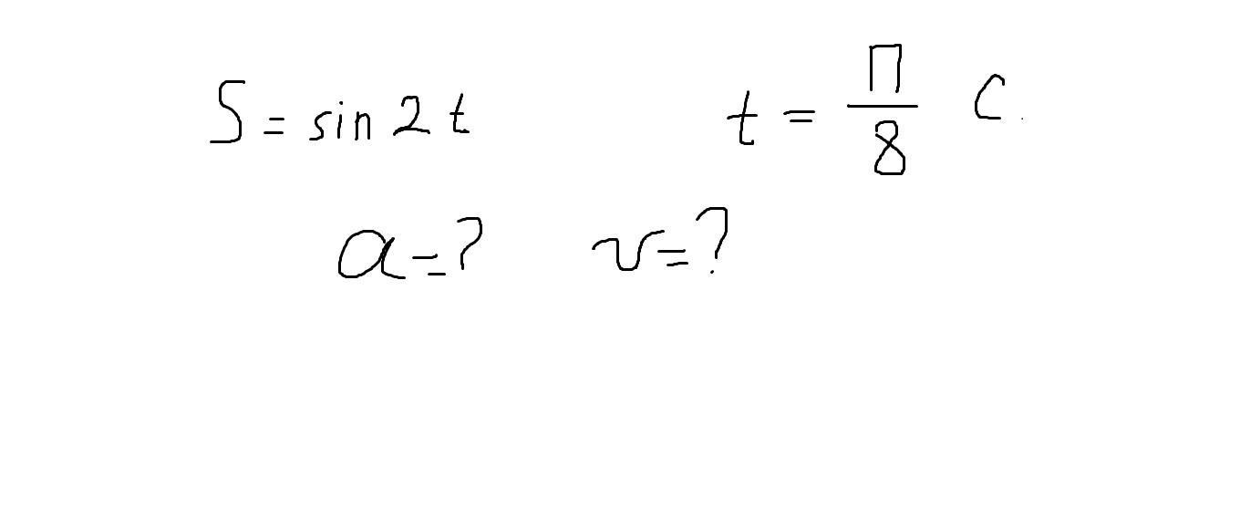
помогите решить, что делать с t если оно не полное число...

Приложения:

Ответы

Ответ дал: bloodes
0
Я думаю тут не это просят. Можно же решать через производную, смекаешь?
V = 2cos2t
a = -4sin2t
Ответ дал: bloodes
0
Ну а потом подставить t естественно
Вас заинтересует