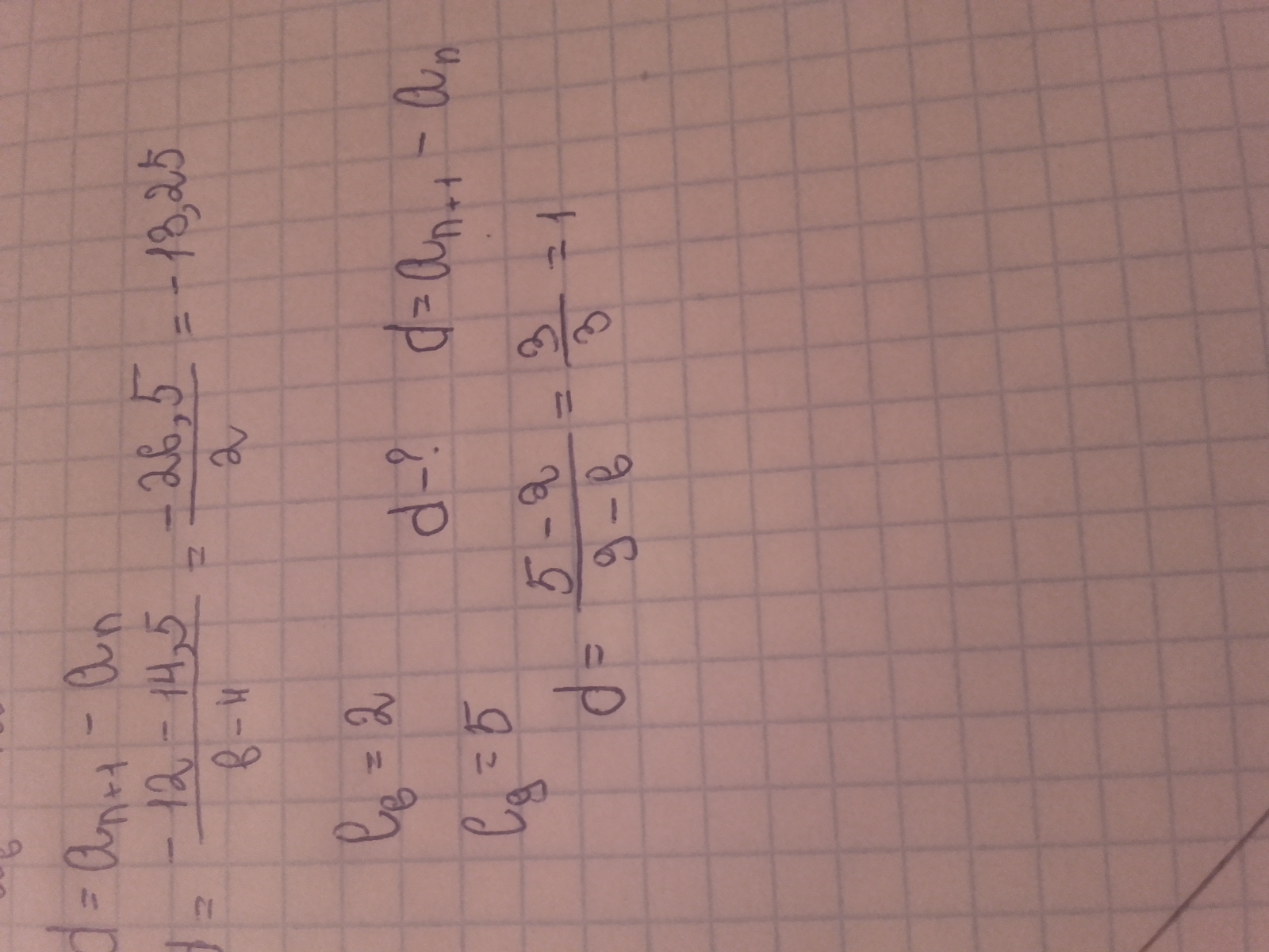
найдите разность арифметической прогрессии (Сn) , C6=2 , C9=5 помогиииииииииииииииитттттттттттттттттттеееееееееееееееееееееееееееееееееееееееееееееееееее
Ответы
Ответ дал:
0
Расчет по главной формуле нахождения разности арифметической прогрессии(d)
Дробь для быстроты и удобства
Дробь для быстроты и удобства
Приложения:
Вас заинтересует
3 года назад
3 года назад
7 лет назад
10 лет назад
10 лет назад
10 лет назад