• Предмет: Математика
  • Автор: nob228
  • Вопрос задан 9 лет назад

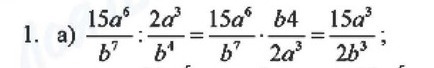
Объясните почему из b в четвёртой степени получается b умножить на 4

Приложения:

Ответы

Ответ дал: 1cyxapuk1
0
Из b в четвёртой степени никак не может получиться b х 4. 
b в чётвёртой = b x b x b x b
Вас заинтересует