• Предмет: Физика
  • Автор: NastyaGh2000
  • Вопрос задан 9 лет назад

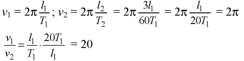
Минутная стрелка часов в 3 раза длиннее секундной. Вычислите соотношение линейных скоростей концов стрелок

Ответы

Ответ дал: середнячок81
0
кажется верно проверь сам(а)
Приложения:
Ответ дал: NastyaGh2000
0
Спасибо
Вас заинтересует